Identification of clinical and rehabilitation groups among patients with cervical tetraplegia
- Authors: Bushkov F.A.1, Razumov A.N.2, Sichinava N.V.2
-
Affiliations:
- Rehabilitation Center “Overcoming”
- Moscow Centre for Research and Practice in Medical Rehabilitation, Restorative and Sports Medicine
- Issue: Vol 25, No 1 (2022)
- Pages: 31-40
- Section: Expertise and rehabilitation
- Submitted: 11.07.2022
- Accepted: 11.08.2022
- Published: 15.01.2022
- URL: https://rjmseer.com/1560-9537/article/view/109292
- DOI: https://doi.org/10.17816/MSER109292
- ID: 109292
Cite item
Full Text
Abstract
BACKGROUND: Spinal cord injury at the cervical level often leads to a severe neurological deficit, such as tetraplegia (International Standards for Neurological Classification of Spinal Cord Injury) and gross functional disorders. Currently, methods of differentiated rehabilitation strategy are developed, taking into account the needs of the patients.
AIMS: This study aimed to examine the clinical heterogeneity of patients with a cervical injury and to form appropriate clinical and rehabilitation groups based on common relevant rehabilitation goals.
MATERIALS AND METHODS: We examined 190 patients with severe cervical myelopathy C4–D1 level aged 18–60 years in whom changes in clinical and functional status were monitored for 5–7 years. The rehabilitation program was standardized and based on existing national clinical guidelines for physical rehabilitation in patients with spinal cord injuries.
RESULTS: The greatest changes were in patients with motor levels C6 and C7. Patients with cervical tetraplegia, according to the criterion of functional and motor homogeneity, can be divided into four clinical and rehabilitation groups: patients with a high level of damage to C4–C6 (functionally dependent), patients with a low level of damage to C7–D1 (functionally independent), patients with complete motor damage (types A and B), and patients with incomplete motor damage (types C and D).
CONCLUSIONS: The allocation of clinical and rehabilitation groups allows the prediction of the results and outcomes of rehabilitation. A timely rehabilitation prognosis can improve the quality of life of patients with cervical tetraplegia and their families and contribute to their timely adaptation to society.
Full Text
ОБОСНОВАНИЕ
Гетерогенность пациентов после спинномозгового повреждения базируется на их делении по уровню и полноте повреждения спинного мозга согласно международной неврологической классификации повреждений спинного мозга (International Standards for Neurological Classification of Spinal Cord Injury, ISNCSCI) Американской ассоциации травм позвоночника и Международного общества спинного мозга (American Spinal Injury Association / The International Spinal Cord Society, ASIA/ ISCoS) [1, 2], что, собственно, и определяет дальнейшую траекторию их клинико-функционального улучшения [3]. Большинство пациентов с шейным уровнем повреждения спинного мозга имеют травматическую этиологию, при которой чаще встречается полное двигательное повреждение C5–C6 сегментов спинного мозга (неврологический уровень) [4]. Работы отечественных специалистов в области реабилитации базируются преимущественно на делении спинальных пациентов по уровню повреждения (шейный, грудной и поясничный отделы) с дальнейшим акцентом на общем клиническом исходе в виде преимущественного восстановления функции ходьбы [5–7].
По стандарту ASIA, тетраплегия характеризуется нарушением произвольной двигательной функции нижних и верхних конечностей, туловища, тазовых органов, т.е. чувствительными нарушениями (стандарт) [1]. Клиническая картина пациентов с тяжёлой цервикальной миелопатией характеризуется развитием смешанного тетрапареза, нарушением функций тазовых органов, вегетативными дисфункциями в отдельных системах, нарушениями различных аспектов здоровья, развитием ранних и поздних осложнений [8–10]. Гетерогенность среди пациентов с цервикальной тетраплегией основывается на уровне и полноте, причине и давности повреждения спинного мозга, возрасте его получения и мало учитывается в отечественных работах [2, 11, 12]. При этом, с практической точки зрения, кроме неврологических особенностей также важно обратить внимание на гетерогенность контекстуальных личностных (самооценка, самоэффективность) [13] и социокультурных факторов [14]. Данная гетерогенность имеет большое практическое значение для применения дифференцированных реабилитационных стратегий и оценки степени дальнейшей реинтеграции пациента-инвалида в сообщество согласно принципам Международной классификации функционирования [15, 16].
Цели исследования ― выявление клинической гетерогенности группы пациентов с шейным уровнем повреждения позвоночника и формирование соответствующих клинико-реабилитационных групп, объединённых общими релевантными реабилитационными задачами.
МАТЕРИАЛ И МЕТОДЫ
Дизайн исследования
Ретроспективное, обсервационное, продольное, терапевтическое.
Условия проведения
Исследование пациентов проводилось на базе реабилитационного центра «Преодоление» (Москва).
Критерии соответствия
Критерии включения: повреждение шейного отдела позвоночника давностью более 3 мес; возможность пациента находиться в кресле-коляске в сидячем положении в течение более 1 ч.
Критерии исключения: острые или обострение хронических инфекционных или соматических заболеваний; прогрессирующая сирингомиелия; большие пролежни на пятках и ягодичной области.
Описание медицинского вмешательства
Всего было оценено 450 медицинских карт, из которых было отобрано 190 пациентов с шейным уровнем повреждения позвоночника. Анализ историй болезни позволил провести наблюдение за пациентами с цервикальной тетраплегией в сроки от 3 мес до 7 лет после позвоночно-спинномозгового повреждения, за который пациенты в среднем прошли 4,7±1,79 курсов реабилитации. При этом бо́льшая часть пациентов, в соответствии с программой Департамента социальной защиты г. Москвы, при первом поступлении (реабилитационный курс) в реабилитационный центр проходила подряд от 2 до 4 циклов 30-дневной реабилитации, в среднем 2,5±2,62 курса. Анализ проводился перед началом первого курса реабилитации (Точка 1, Т1) и до начала последнего реабилитационного курса (Точка 2, Т2).
Курс реабилитации традиционно состоял из рационального сочетания ежедневных занятий лечебной физкультурой, социально-бытовой адаптации, медицинского массажа, физиотерапевтического лечения, психологического сопровождения. На занятиях лечебной физкультурой выполняли физические упражнения на циклическом силовом тренажёре с технологией биологической обратной связи (Motomed Viva 2, Германия); общеразвивающие, силовые и дыхательные физические упражнения; стретчинг (от англ. растягивание) спастических мышц туловища и нижних конечностей; отработку различных двигательных навыков ― поворотов, присаживаний, пересаживаний и др., а также общие постуральные упражнения в виде дробных вертикализаций на тренажёре-вертикализаторе или ортостоле [2, 17, 18].
Физиотерапевтическое лечение включало в себя динамическую пневмокомпрессию на нижние конечности в положении на спине (Pressomed 2900, EME, Италия; программа № 6, 20 мин, № 10) и низкочастотную магнитотерапию по продольной методике на позвоночник, в положении сидя в кресле-коляске или лёжа на животе (Magnitomed 2000, EME Италия; частота 50 Гц, мощность 10 млТ, режим непрерывный, длительность по 20 мин, № 10).
Социально-бытовая адаптация проводилась индивидуальным методом с инструктором-методистом и включала в себя физические упражнения для отработки навыков приёма пищи, одевания, раздевания, личной гигиены, пользования адаптивными столовыми приборами, навыков трансфера и перемещения в кресле-коляске в максимально приближённых к домашним (естественным) условиям существования.
Лечебный массаж состоял из поочерёдного массажа верхних и нижних конечностей, грудной клетки, спины с целью улучшения трофики, снижения мышечного спастического гипертонуса, уменьшения миофасциального болевого синдрома, улучшения клиренса бронхиального дерева (длительность процедуры составляла 30 мин, № 10).
Психологическое сопровождение включало в себя психологическую консультацию и несколько занятий психологической коррекции длительностью по 45 мин.
Продолжительность исследования
Все пациенты наблюдались в динамике на протяжении 5–7 лет (на протяжении 2010–2018 гг.) с фиксацией начальных (Т1) и заключительных результатов (Т2).
Методы регистрации исходов
Обследование выполнялось в начале и конце периода наблюдения. В его основу был положен международный стандарт неврологической классификации травмы спинного мозга Американской ассоциации спинальной травмы (ASIA) [1] с выделением двигательного уровня (ДУ) и полноты повреждения спинного мозга. Общие двигательные навыки и степень функциональной независимости оценивались с помощью двигательной субшкалы FIMm (Functional Independence Measure) и шкалы Ван-Люшот (Van Lieshout test, VLT, короткая версия) [19].
Двигательная субшкала FIM (FIMm) состоит из 13 двигательных заданий, оценивающих по 7-балльной шкале навыки ежедневной жизнедеятельности, объединённые в 4 домена: «самообслуживание», «трансфер», «тазовые органы», «мобильность». Сумма баллов рассчитывается в целом (максимальная сумма 91 балл) и отдельно по каждому из доменов.
Оценка специфических навыков кисти и верхней конечности выполнялась с помощью шкалы VLT, в которой 10 активностей короткой версии разделены на 4 домена: «баланс» (баланс туловища), «1 палец» (функция большого пальца), «захват» (хватательная функция кисти), «манипуляции» (манипуляции с предметами). Оценка производилась с каждой стороны (5 баллов ― наилучшая кисть, 0 баллов ― наихудшая), далее результаты суммировались (максимальная сумма 100 баллов).
Этическое утверждение
Исследование проводилось в соответствии с Хельсинкской декларацией Всемирной медицинской ассоциации. Учитывая ретроспективный характер исследования, подписание информированного согласия об участии в исследовании не требовалось, все полученные данные были обезличены.
Статистический анализ
Полученные нами данные обрабатывались методами статистического анализа при помощи статистического пакета Statistica 10,0. В большинстве наблюдений наблюдалась нормальность распределения признаков (метод построения гистограмм, W-критерий Шапиро–Уилка). Гомоскедастичность дисперсии оценивалась с помощью критерия Левена (сумма квадратов отклонений ― sum of squared deviations, SS), апостериорные множественные сравнения выполнялись с помощью критерия Тьюки для неравных групп. Данные представлены в виде средней и среднеквадратического отклонения (mean square deviation, MS), медианы и интерквантильного размаха, на графиках данные представлены в виде среднего (Mn) и 95% доверительного интервала (95% confidence interval, 95% CI). Статистически значимым принимался результат, если вероятность отвергнуть нулевую гипотезу (H0) об отсутствии различий не превышала 5% (р <0,05).
РЕЗУЛЬТАТЫ
Объекты (участники) исследования
Возраст пациентов (n=190) при поступлении составил 27 (21,0; 36,0) лет, давность спинномозгового повреждения ― 2 (1,0; 5,0) года. Количество мужчин, вошедших в исследование, составило 151 (79%), женщин ― 39 (21%). По ДУ пациенты были распределены следующим образом: повреждение С4 ― у 14 (7%), С5 ― у 36 (19%), С6 ― у 67 (35%), С7 ― у 50 (26%), С8 ― у 16 (9%), D1 ― у 7 (4%); по полноте повреждения: тип A ― у 118, B ― у 16, C ― у 44, D ― у 11, E ― у 1. Причинами повреждения спинного мозга в 87 (46%) случаях было ныряние на мелководье, в 55 (29%) ― дорожно-транспортное происшествие, в 26 (13,5%) ― падения, в 5 (2,5%) ― избиение, в 3 (1,5%) ― спортивные травмы, в 14 (7,5%) ― нетравматические виды повреждений (опухоль, дегенеративный или врождённый стеноз позвоночного канала, нарушение спинального кровообращения).
Основные результаты исследования
За всё время наблюдения было отмечено 28 случаев изменения неврологического статуса, из них 26 положительных (в первые 6 мес после спинномозгового повреждения) и 2 отрицательных (более 12 мес от момента спинномозгового повреждения). Положительные изменения по уменьшению степени полноты повреждения были отмечены у 6 пациентов, по снижению ДУ ― у 20. Отрицательные клинико-функциональные изменения развились у 3 пациентов в сроки более 12 мес, из них у 2 за счёт развития прогрессирующей посттравматической миелопатии, у 1 за счёт нарастания спастичности и суставных контрактур в условиях депрессивного эмоционального фона (неврологический статус по ASIA не изменился).
Динамика изменения клинико-функционального статуса оценивалась в начале (Т1) и в конце цикла наблюдения (Т2) с помощью дисперсионного анализа повторных измерений и составила 19 (12,0; 28,0) баллов по VLT и 14 (5,0; 21,0) баллов по FIMm (табл. 1). Отмечена положительная корреляция ДУ с VLT (R=0,26) и FIMm (R=0,25), отрицательная ― с давностью спинномозгового повреждения (R=-0,17 и R=-0,38 для VLT и FIMm соответственно). Другими словами, чем ниже ДУ повреждения, тем более выражена положительная динамика, с увеличением давности травмы позитивные изменения приостанавливаются.
Таблица 1. Общие изменения функционального статуса за период наблюдения
Table 1. Common changes in the functional state during the observation period
Шкалы | Т1 | Т2 | Критерий Фишера |
FIMm | 35±19,3 | 49±21,5 | F=29,0; p=0,00, |
VLT | 30±18,8 | 49±21,8 | F=35,0; p=0,00 |
Из табл. 2 видно, что наибольший функциональный прирост наблюдается по FIMm у пациентов с ДУ С8–D1, по VLT ― с ДУ С6–С8, а наименьший прирост ― по ДУ С4 и С5.
Таблица 2. Изменения функциональных шкал в зависимости от двигательного уровня
Table 2. Changes in functional scales depending on motor level
Двигательный уровень | ∆FIMm (2-1), балл | ∆VLT (2-1), балл |
C4 (14) | 3 (0,0; 6,0) | 6 (1,0; 11,0) |
C5 (36) | 8 (4,0; 14,0) | 10,5 (4,5; 17,0) |
C6 (67) | 12 (8,0; 20,0) | 19 (11,0; 28,0) |
C7 (50) | 10 (6,0; 18,0) | 21 (16,0; 28,0) |
C8 (16) | 14 (9,0; 32,0) | 22 (16,5; 36,0) |
D1 (7) | 30 (8,0; 38,0) | 12 (5,0; 18,0) |
Итого | 14 (5,0; 21,0) 15±13,6 | 19 (12,0; 29,0) 21±14,2 |
В зависимости от доменной структуры используемых шкал наиболее выраженные изменения отмечались по шкале VLT в функции 1-го пальца кисти («1 палец») и манипуляции кистью («манипуляции») ― 5 (3,0; 8,0) и 6 (3,0; 10,0) баллов соответственно, по шкале FIMm ― в доменах «самообслуживание» и «трансфер»: 5 (2,0; 8,0) и 2 (0,0; 4,0) балла соответственно. Наименее выраженные изменения по шкале VLT зафиксированы в доменах «баланс» (динамический баланс туловища) ― 4 (2,0; 5,0) и «захват» (кистевой захват) ― 4 (2,0; 6,0) балла, по шкале FIMm ― в доменах «тазовые функции» ― 0 (0,0; 2,0) и «мобильность» ― 1 (0,0; 2,0) балл.
При применении множественного апостериорного сравнения (критерий Тьюки для неравных групп) между группами в зависимости от ДУ и доменов шкал FIMm и VLT до начала реабилитации была обнаружена однородность между некоторыми смежными ДУ. Так, не выявлено различий между ДУ С4–С5–С6 и С7–С8–D1 по доменам VLT «баланс» и «1 палец» (среднее квадратов отклонений от среднего MS 25,4 и 48,6; SS 183,0), что указывает на границу функциональной неоднородности ДУ С6–С7. Не обнаружены статистически значимые различия между ДУ С4–С5–С6–С7 против С8–D1 по доменам «захват» и «манипуляции» (MS 66,2 и 25,7), соответственно граница ДУ находится на уровне С7–С8. По доменам FIMm не было различий между ДУ С4–С5–С6 и С7–С8–D1 по всем доменам («самообслуживание», «трансфер», «мобильность», «тазовые функции») (MS 10,6; 5,4; 18,7; 55,4), что указывает на границу функциональной неоднородности ДУ С6–С7. При этом критерий Левена был достоверным для доменов FIMm «самообслуживание» (SS 341,6; p=0,00), «тазовые функции» (SS 85,9; p=0,00) и незначимым для доменов «трансфер» (SS 48,5; p=0,26), «мобильность» (SS 10,3; p=0,52). Для шкалы VLT критерий Левена достигал значимого уровня для доменов «1 палец» (SS 169; p=0,03) и «захват» (SS 124; p=0,01) и был незначимым для доменов «манипуляции» (SS 130; p=0,37) и «баланс (SS 59; p=0,24).
Сравнение между группами в зависимости от полноты повреждения спинного мозга и доменов шкал FIMm и VLT до реабилитации показало, что по всем доменам FIMm при апостериорном сравнении имеются статистически значимые одинаковые различия между типами A и B против C и D («тазовые функции»: MS 11,3; SS 185; «мобильность»: MS 5,1; «самообслуживание»: MS 67,2; «трансфер»: MS 21,4), при этом критерий Левена был достоверен только для доменов «тазовые функции» (эффект SS 86,3) и «мобильность» (эффект SS 37,7); для доменов «самообслуживание» (эффект SS 176; p=0,09) и «трансфер» (эффект SS 53; p=0,11) данный критерий не достигал статистически значимого уровня.
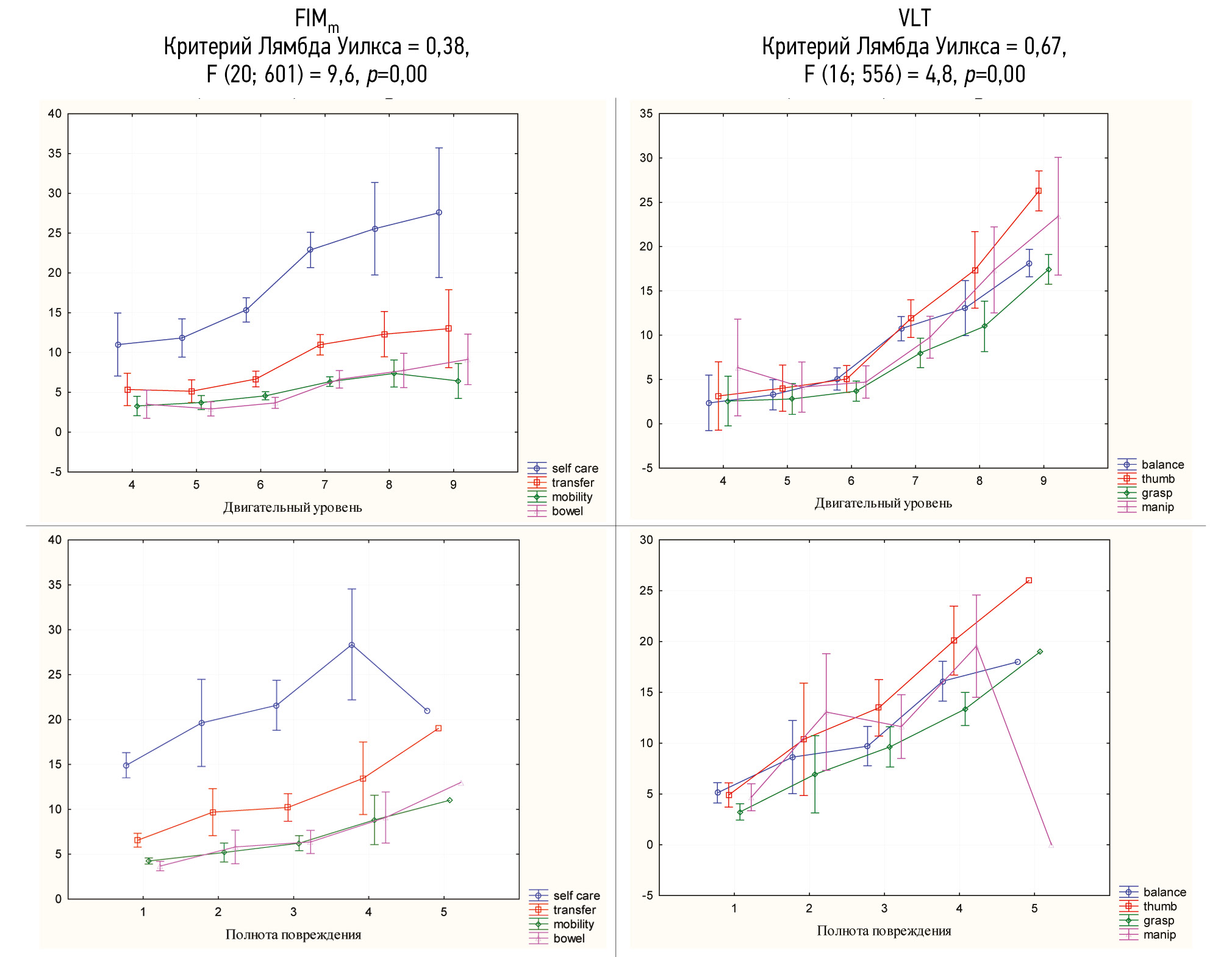
При аналогичном сравнительном анализе по доменам VLT выявлена следующая картина. По домену VLT «манипуляции» наблюдались различия между типом A и типами B, C, D (MS 69,7; SS 184); по доменам «захват» и «1 палец» типы A и B отличаются от C и D (MS 26,5 и 56,8 соответственно); в домене «баланс» имелись различия между группами пациентов с типами A и B против типов C и D, между типом C и типом D (MS 32,8), при этом критерий Левена был достоверен для всех подгрупп (SS 670, SS 320, SS 545, SS 147 соответственно) (рис. 1).
Рис. 1. Зависимость функционального статуса (FIMm и VLT) от двигательного уровня и полноты повреждения спинного мозга (Mn, 0,95% CI) до начала периода наблюдения (Т1).
Fig. 1. Dependence of functional status (FIMm and VLT) on motor level and completeness of spinal cord injury (Mn, 0.95% CI) d at the beginning of the observation period (Т1).
После реабилитации граница функциональной неоднородности по домену «баланс» VLT проходила между ДУ С4–С5–С6 и С7–С8–D1, при этом баланс ДУ С6 отличался от всех остальных подгрупп (MS 22,4; SS 184,0). По домену «1 палец» не было различий между пациентами с ДУ С4–С5–С6 (MS 53,4): соответственно, ключевым является ДУ С7. По доменам «захват» и «манипуляции» не обнаружены различия между ДУ С4–С5–С6 и С7–С8–D1 (MS 57,8 и 27,7): соответственно, переходным является ДУ С6–С7.
По шкале FIMm после реабилитационного лечения в домене «тазовые функции» различий внутри групп с ДУ C4–C5–C6 и C7–C8–D1 не обнаружены (MS 14,1): соответственно, переходная зона ― это ДУ С6–С7. По домену «мобильность» обнаружены различия между ДУ С6 и С4, ДУ С7–С8 от С4–С5 (MS 5,2): соответственно, С6 ― переходный ДУ; по домену «трансфер» однородными были группы с ДУ С4–С5–С6 и С7–С8–D1: соответственно, переходными являются ДУ С6–С7 (MS 22,7); в домене «самообслуживание» не было различий между пациентами с ДУ С4–С5 и С7–С8–D1 (MS 50,8): соответственно, С6 ― переходный ДУ. При этом критерий Левена достигал значимого уровня для всех доменов VLT: «баланс» (SS 204; p=0,00); «1 палец» (SS 312; p=0,00); «захват» (SS 210; p=0,00); «манипуляции» (SS 391; p=0,00). Для доменов FIMm критерий Левена был значимым для трёх из них: «самообслуживание» (SS 310,9; p=0,00); «трансфер» (SS 185,6; p=0,00); «мобильность» (SS 29,9; p=0,03) и незначимым для домена «тазовые функции» (SS 39,6; p=0,11).
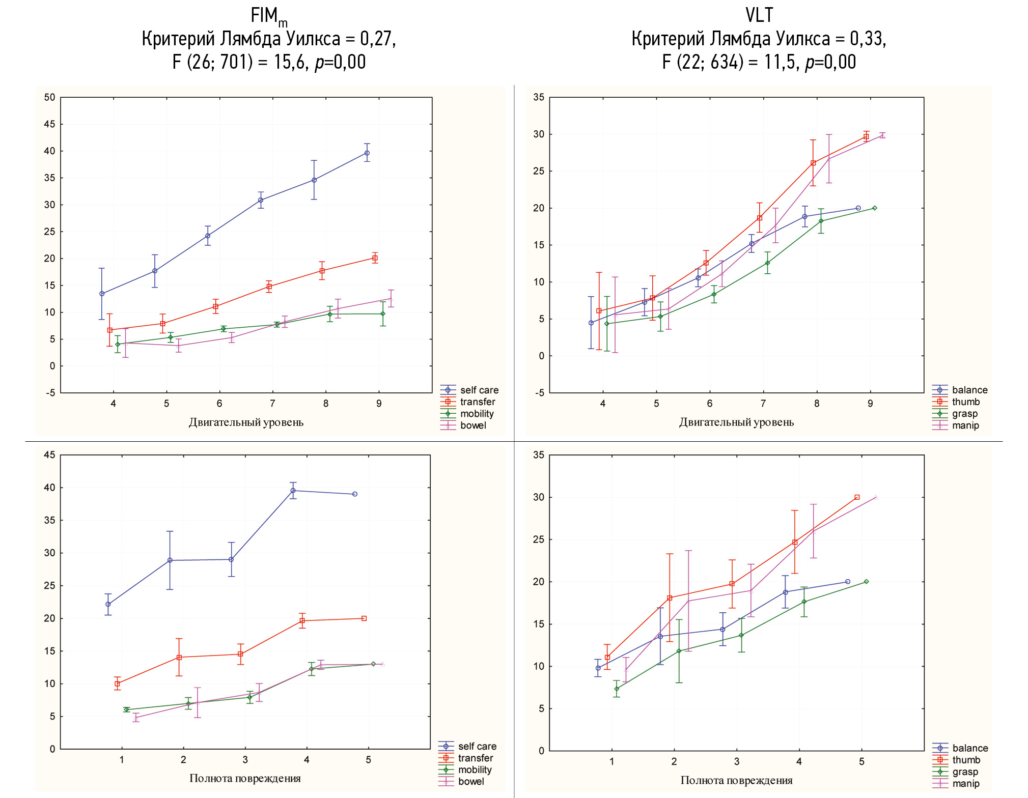
После реабилитации по полноте повреждения спинного мозга имелась следующая картина. Домены FIMm «самообслуживание», «мобильность» различались между типами: A и B против С и D, B против D, D против A, B, C (MS 72,8 и 4,7 соответственно), в домене «трансфер» типы A и B отличались от С и D (MS 27,6), в домене «тазовые функции» ― A и B от C и D, тип D отличался только от типов A и B (MS 14,5). По домену «баланс» VLT типы A и B отличались от типов C и D (MS 33,2), домены «1 палец», «захват», «манипуляции» типа A отличались от аналогичных доменов типов C и D (MS 71,2; 32,5; 75,1 соответственно). При этом критерий Левена для всех доменов FIMm был статистически достоверным («самообслуживание» SS 416, «трансфер» SS 132, «мобильность» SS 40, «тазовые функции» SS 91). Для доменов VLT критерий Левена достигал значимого уровня для трёх доменов: «баланс» (SS 132; p=0,01); «захват» (SS 158; p=0,00), «манипуляции» (SS 548; p=0,00); исключением являлся домен «1 палец» (SS 160, p=0,15). Типы С и D отличались между собой по доменам «баланс» (до лечения) и «мобильность» (после лечения) (рис. 2).
Рис. 2. Зависимость функционального статуса (FIM и VLT) от двигательного уровня и полноты повреждения (Mn; 0,95% CI) после периода наблюдения.
Fig. 2. Dependence of the functional status (FIM and VLT) on the motor level and completeness of the spinal cord injury (Mn; 0.95% CI) after the observation period (Т2).
Таким образом, по ДУ в ходе реабилитации по шкале VLT была обнаружена положительная динамика по домену «баланс» у пациентов с ДУ С6, а в доменах «1 палец», «захват» и «манипуляции» шкалы VLT отмечается сохранение однородности между ДУ С4–С5–С6, что указывает на увеличение двигательных возможностей по этим доменам у пациентов с ДУ С7. По шкале FIMm ДУ С6 отделился от группы С4–С5 по доменам «мобильность» и «уход за собой», по оставшимся доменами однородность группы С4–С5–С6 сохранялась. Исходя из этого, ДУ С6 и С7 являются переходными между группами пациентов с относительно высокими и низкими функциональными способностями, оценёнными по доменам функциональных шкал FIMm и VLT, что в свою очередь указывает на их относительно более высокую чувствительность к реабилитации и сравнительно высокий реабилитационный потенциал.
По полноте повреждения спинного мозга отмечается некоторая общность по двигательным возможностям между типами повреждения A и B в сравнении с C и D, а существенных различий между типами A и B не обнаружено по большинству доменов шкал FIMm и VLT. В результате реабилитации в зависимости от полноты повреждения тип B не смог приобрести самостоятельного значения, подтвердив в функциональном аспекте совершенно чёткую грань между пациентами с полным (тип A, B) и неполным (тип C, D) двигательным повреждением, подчёркивания обособленное значение типа D.
ОБСУЖДЕНИЕ
Во всех случаях цервикальной тетраплегии клинико-реабилитационный потенциал пропорционален степени первичного неврологического дефицита и строго лимитирован во временном континууме первыми 3–6 мес [3]. Существует несколько предикативных правил, построенных на основе бинарной логистической регрессионной модели, позволяющих достаточно точно прогнозировать восстановление ряда функций. Так, существующая модель, описывающая улучшение функции ходьбы у пациентов с позвоночно-спинномозговыми повреждениями, включает в себя такие факторы, как возраст менее 65 лет, наличие мышечной силы и чувствительности в миотомах и дерматомах L3, S1, и позволяет прогнозировать восстановление функциональной ходьбы с точностью до 95% [20]. Одним из ключевых моментов в восстановлении хватательной функции верхней конечности является сохранение силы лучевых разгибателей [21], что позволяет за счёт пассивности функциональной кисти значительно расширить степень функциональной ежедневной независимости, что возможно у пациентов с ДУ С6, С7. Так, полученные данные указывают, что объём резидуальной двигательной функции (FDP ― хватательная функция кисти; FPL ― мобильность, triceps brachii ― самообслуживание) и наличие цилиндрического функционального тенодеза в первые 6 мес после спинномозгового повреждения влияют на уровень функциональных возможностей пациентов с хронической цервикальной тетраплегией с точностью до 86–91% [22].
При анализе модельных характеристик пациента с цервикальной тетраплегией следует обратиться к ставшему классикой опыту западных коллег, которые указывают на то, что пациенты с ДУ С1–С4 полностью зависимы; с уровнем С5 ― способны частично к приёму пищи с помощью ассистивного оборудования, но им недоступны одевание, мобильность в кровати, в коляске и при трансферах; с уровнем С6 ― могут принимать пищу с помощь ортезов или адаптированных столовых приборов, частично независимы при осуществлении трансферов, мобильности в кровати, перемещении в кресле-коляске, одевании; при С7 ― практически полностью самостоятельны с ограниченным участием ассистивного оборудования; пациенты с ДУ С8–D1 практически полностью самостоятельны в реализации всех навыков ежедневной жизнедеятельности и самообслуживания [23].
Следует с осторожностью отнестись к полученные нами данным об однородности группы с неполным двигательным повреждением, включающей типы C и D, по некоторым доменам. Неполное двигательное поражение (тип С) классифицируется, когда более половины миотомов, расположенных ниже уровня повреждения, имеет мышечную силу менее 3 баллов, и, как показывает наша практика, зачастую не имеет существенного преимущества перед типами A и B, что обусловлено наличием выраженной спастичности на фоне выраженного или умеренного двигательного пареза. Дополнительно это снижает качество жизни за счёт ограничения амплитуды активных движений и положительных симптомов спастичности в рамках синдрома повреждения верхнего мотонейрона [24]. В нашем исследовании было показано, что пациенты с типом D могут существенно отличатся по доменам «трансфер», «самообслуживание», «мобильность», «баланс» от пациентов с типом С.
ЗАКЛЮЧЕНИЕ
Пациенты с цервикальной тетраплегией, согласно критерию функционально-двигательного однородства, можно разделить на 4 клинико-реабилитационные группы: пациенты с высоким уровнем повреждения С4–С6 (функционально зависимые); пациенты с низким уровнем повреждения С7–D1 (функционально независимые); пациенты с полным двигательным повреждением (типы A и B); пациенты с неполным двигательным повреждением (типы C и D). Наиболее высоким реабилитационным потенциалом обладают пациенты с двигательными уровнями С6 и С7, при этом влияние полноты повреждения спинного мозга имеет значительно меньшее предикативное значение.
ДОПОЛНИТЕЛЬНО
Источник финансирования. Авторы заявляют об отсутствии внешнего финансирования при проведении исследования.
Конфликт интересов. Авторы декларируют отсутствие явных и потенциальных конфликтов интересов, связанных с публикацией настоящей статьи.
Вклад авторов. Все авторы подтверждают соответствие своего авторства международным критериям ICMJE (все авторы внесли существенный вклад в разработку концепции, проведение исследования и подготовку статьи, прочли и одобрили финальную версию перед публикацией). Наибольший вклад распределён следующим образом: Ф.А. Бушков ― концепция и дизайн исследования, сбор и обработка материала, статистическая обработка, написание текста; А.Н. Разумов ― концепция и дизайн исследования; Н.В. Сичинава ― редактирование.
ADDITIONAL INFORMATION
Funding source. This study was not supported by any external sources of funding.
Competing interests. The authors declare that they have no competing interests.
Authors’ contribution. F.A. Bushkov ― concept and design of the study, collection and processing of the material, writing the text, statistical analysis, A.N. Razumov ― concept and design of the study, N.V. Sichinava ― editing. All authors made a substantial contribution to the conception of the work, acquisition, analysis, interpretation of data for the work, drafting and revising the work, final approval of the version to be published and agree to be accountable for all aspects of the work.
About the authors
Fedor A. Bushkov
Rehabilitation Center “Overcoming”
Email: bushkovfedor@mail.ru
ORCID iD: 0000-0002-3001-0985
SPIN-code: 7593-3400
MD, Cand. Sci. (Med.)
Russian Federation, MoscowAleksandr N. Razumov
Moscow Centre for Research and Practice in Medical Rehabilitation, Restorative and Sports Medicine
Author for correspondence.
Email: razumov_a_n@staff.sechenov.ru
ORCID iD: 0000-0001-5389-7235
SPIN-code: 8793-5173
MD, Dr. Sci. (Med.), Professor, Academician of the Russian Academy of Sciences
Russian Federation, MoscowNino V. Sichinava
Moscow Centre for Research and Practice in Medical Rehabilitation, Restorative and Sports Medicine
Email: sichi.24@mail.ru
ORCID iD: 0000-0002-7732-6020
SPIN-code: 2568-8150
MD, Dr. Sci. (Med.), Senior Research Associate
Russian Federation, MoscowReferences
- ASIA and ISCoS International Standards Committee. The 2019 revision of the International Standards for Neurological Classification of Spinal Cord Injury (ISNCSCI)-What’s new? Spinal Cord. 2019;57(10):815–817. doi: 10.1038/s41393-019-0350-9
- Management of patients with the consequences of spinal cord injury at the second and third stages of medical and medico-social rehabilitation. Clinical recommendations. Moscow; 2017. 326 р. (In Russ).
- Ditunno JF, Cohen ME, Hauck WW. Recovery of upper-extremity strength in complete and incomplete tetraplegia: a multicenter study. Arch Phys Med Rehab. 2000;81(4):389–393. doi: 10.1053/mr.2000.3779
- Ull C, Yilmaz E, Jansen O, et al. Spinal Cord Injury with tetraplegia in young persons after diving into shallow water: what has changed in the past 10 to 15 years? Global Spine J. 2021;11(8):1238–1247. doi: 10.1177/2192568220944124
- Mironov EM. Prerequisites for the rehabilitation treatment of patients with the consequences of spinal cord injury in the cervical region. Med Social Expertise Rehabilitation. 2005;(3):10–13. (In Russ).
- Morozov IN, Novikov AV, Rukina NN, Vorobyeva OV. Biomechanical assessment of motor disorders of the hand in patients with cervical spinal cord injury. Russ J Biomechanics. 2011;15(2):77–83. (In Russ).
- Bodrova RA, Gumerova LS. Modern technologies of physical rehabilitation of patients with spinal cord injury. Bulletin Restorative Med. 2014;(2):32–36. (In Russ).
- Schönherr MC, Groothoff JW, Mulder GA, Eisma WH. Functional outcome of patients with spinal cord injury: rehabilitation outcome study. Clin Rehabil. 1999;13(6): 457–463. doi: 10.1191/026921599666105472
- Jensen MP, Kuehn CM, Amtmann D, Cardenas DD. Symptom burden in persons with spinal cord injury. Arch Phys Med Rehabil. 2007;88(5):638–645. doi: 10.1016/j.apmr.2007.02.002
- Sezer N, Akkuş S, Uğurlu FG. Chronic complications of spinal cord injury. World J Orthop. 2015;6(1):24–33. doi: 10.5312/wjo.v6.i1.24
- Furlan JC, Fehlings M. The impact of age on mortality, impairment and disability among adults with acute traumatic spinal cord injury. J Neurotrauma. 2009;26(10):1707–1717. doi: 10.1089/neu.2009.0888
- Hitzig SL, Eng JJ, Miller WC, Sakakibara BM. An evidence-based review of aging of the body systems following spinal cord injury. Spinal Cord. 2011;49(6):684–701. doi: 10.1038/sc.2010.178
- Geyh S, Nick E, Stirnimann D. Self-efficacy and self-esteem as predictors of participation in spinal cord injury--an ICF-based study. Spinal Cord. 2012;50(9):699–706. doi: 10.1038/sc.2012.18
- Anderson CJ, Krajci KA, Vogel L. Community integration among adults with spinal cord injuries sustained as children or adolescents. Dev Med Child Neurol. 2003;45(2):129–134.
- Koh GC, Chen CH, Petrella R, Thind A. Rehabilitation impact indices and their independent predictors: a systematic review. BMJ Open. 2013;3(9):e003483. doi: 10.1136/bmjopen-2013-003483
- Gupta S, Jaiswal A, Norman K, DePaul V. Heterogeneity and Its impact on rehabilitation outcomes and interventions for community reintegration in people with spinal cord injuries: an integrative review. Top Spinal Cord Inj Rehabil. 2019;25(2):164–185. doi: 10.1310/sci2502-164
- Ginis KA, Van der Scheer JW, Latimer-Cheung AE. Evidence-based scientific exercise guidelines for adults with spinal cord injury: an update and a new guideline. Spinal Cord. 2018;56(4):308–321. doi: 10.1038/s41393-017-0017-3
- Hutchinson MJ, Goosey-Tolfrey VL. Rethinking aerobic exercise intensity prescription in adults with spinal cord injury: time to end the use of “moderate to vigorous” intensity? Spinal Cord. 2022;60(6):484–490. doi: 10.1038/s41393-021-00733-2
- Ditunno JF, Burns AS, Marino RJ. Neurological and functional capacity outcome measures: essential to spinal cord injury clinical trials. J Rehabil Res Dev. 2005;42(3 Suppl 1):35–41. doi: 10.1682/jrrd.2004.08.0098
- Van Middendorp JJ, Hosman AJ, Donders AR, et al. EM-SCI Study Group A clinical prediction rule for ambulation outcomes after traumatic spinal cord injury: a longitudinal cohort study. Lancet. 2011;377(9770):1004–1010. doi: 10.1016/S0140-6736(10)62276-3
- Jung HY, Lee J, Shin HI. The natural course of passive tenodesis grip in individuals with spinal cord injury with preserved wrist extension power but paralyzed fingers and thumbs. Spinal Cord. 2018;56(9):900–906. doi: 10.1038/s41393-018-0137-4
- Velstra IM, Bolliger M, Krebs J, et al. Predictive value of upper limb muscles and grasp patterns on functional outcome in cervical spinal cord injury. Neurorehabil Neural Repair. 2016;30(4):295–306. doi: 10.1177/1545968315593806
- Outcomes following traumatic spinal cord injury: clinical practice guidelines for health-care professionals. Consortium for Spinal Cord Medicine. J Spinal Cord Med. 2000;23(4):289–316. doi: 10.1080/10790268.2000.11753539
- Adams HH, Hicks AL. Spasticity after spinal cord injury. Spinal Cord. 2005;43(10):577–586. doi: 10.1038/sj.sc.3101757
Supplementary files




