Repeated disability of the adult population due to diabetes mellitus in the Republic of Dagestan
- Authors: Medzhidov M.N.1, Kafarov R.T.1, Ashuev Z.A.2, Puzin S.N.3, Shurgaya M.A.2
-
Affiliations:
- Dagestan State Medical University
- Russian Medical Academy of Continuous Professional Education
- Federal Scientific and Clinical Center of Resuscitation and Rehabilitation
- Issue: Vol 27, No 2 (2024)
- Pages: 71-80
- Section: Original study articles
- URL: https://rjmseer.com/1560-9537/article/view/636417
- DOI: https://doi.org/10.17816/MSER636417
- ID: 636417
Cite item
Abstract
BACKGROUND: Diabetes mellitus is a socially significant pathology, which is characterized by an epidemic spreading. The epidemiological profile of disability due to diabetes mellitus in the territories of the Russian Federation is the basis for multidisciplinary effective medical and social rehabilitation and prevention, taking into account regional differences in the prevalence of this socially significant pathology. An in-depth analysis of disability due to diabetes mellitus in the Republic of Dagestan has not been conducted.
AIM: To analyze the dynamics and structure of the repeated disability of the adult population due to diabetes mellitus in the Republic of Dagestan.
MATERIALS AND METHODS: Object of the study: a combination of people repeatedly recognized as disabled (RRD) due to diabetes mellitus in the Republic of Dagestan. The analysis was carried out on three main age groups of the adult population. Study design: epidemiological, retrospective, evaluative. Study period: 2014–2023. The data were extracted from statistical documents on the number of people repeatedly recognized as disabled due to diabetes mellitus, the structure of repeated disability by age was determined, the prevalence (level) of repeated disability due to this pathology was determined among the adult population, the number of people repeatedly recognized as disabled (PRD) was ranked by severity (by disability groups), and the indicators of repeated disability in the Republic of Dagestan were compared with similar indicators in the North Caucasus Federal District and the Russian Federation (RF). Sources of information: Form 7-A (social security) of Rosstat “Information on the medical and social examination of persons aged 18 years and older”.
RESULTS: The total number of RRD in 2014–2023 amounted to 15 584 people. Among all subjects of the Russian Federation in terms of prevalence of repeated disability due to DM among the adult population, the RD ranks 2nd (a total of 18 ranking places allocated) with an intensive indicator of 5.8 per 10 thousand adult population (in the RF — 2.4; in the North Caucasus Federal District — 3.9). It was revealed that the structure of repeated disability due to DM by age in the Republic of Dagestan was characterized by the prevalence of working-age disabled people (in general, older disabled people prevalence in the RF). RRD with the third disability group predominated (72.8%).
CONCLUSION: Based on the studied indicators of repeated disability of the adult population due to diabetes mellitus, it is possible to judge the array of patients in the Republic of Dagestan, re-examined due to persistent dysfunctions and associated limitations of life activities caused by complications of this leading endocrine pathology. The presented database demonstrates the acuteness of the problem of prevalence of disabling complications of diabetes mellitus in the republic and has scientific and practical significance for conducting multidisciplinary medical and social rehabilitation of disabled people and preventing disability of the population.
Keywords
Full Text
ОБОСНОВАНИЕ
Сахарный диабет — социально значимая патология, которая характеризуется эпидемическим характером распространения [1–3]. Длительность и характер течения заболевания, скрытое прогрессирование дисфункции поджелудочной железы и уровень успешности контроля гипергликемии после верификации диагноза сахарного диабета определяют тяжесть возникающих инвалидизирующих осложнений. Хроническая гипергликемия при сахарном диабете ассоциируется с поражением и функциональной недостаточностью различных органов и систем, особенно сердечно-сосудистой системы, нервов, почек, органа зрения [4–7].
Для пациентов, страдающих сахарным диабетом, характерны различные заболевания стоматологического профиля (хроническое торпидное к лечению течение кариеса, стоматита, пародонтита). У пациентов формируются тяжёлые симптомы, которые препятствуют приёму пищи. В зависимости от степени тяжести течения патологию полости рта такого вида при отсутствии надлежащего лечения следует рассматривать как мощный предрасполагающий фактор для потери зубов [8, 9].
При сахарном диабете повторно инвалидность устанавливается исходя из клинико-функциональной характеристики заболевания и прогноза патологического процесса с необходимостью продолжения медико-социальной реабилитации [10–12]. Эпидемиологический профиль инвалидности вследствие сахарного диабета на территориях Российской Федерации является основой для проведения многопрофильной эффективной медико-социальной реабилитации и профилактики с учётом региональных различий в распространённости этой социально значимой патологии [13–15]. Углублённый анализ инвалидности вследствие сахарного диабета в Республике Дагестан не проводился.
Цель исследования — анализ динамики и структуры повторной инвалидности взрослого населения вследствие сахарного диабета в Республике Дагестан.
МАТЕРИАЛЫ И МЕТОДЫ
Дизайн исследования
Проведено эпидемиологическое ретроспективное оценочное исследование.
Критерии соответствия
Критерии включения:
- лица в возрасте 18–60 лет и старше, повторно признанные инвалидами вследствие сахарного диабета.
Критерии невключения:
- лица в возрасте 18–60 лет, впервые признанные инвалидами вследствие сахарного диабета;
- лица в возрасте 18–60 лет, повторно признанные инвалидами вследствие других нозологических форм заболеваний.
Условия и продолжительность исследования
Исследование было проведено на базе ФГБОУ ВО «Дагестанский государственный медицинский университет» Минздрава России с января 2023 по июль 2024 г.
Методология исследования
Объект исследования
Совокупность повторно признанных инвалидами (ППИ) вследствие сахарного диабета в течение каждого года в период 2014–2023 гг.
Анализ проведён по трём основным возрастным группам взрослого населения: молодого (мужчины и женщины в возрасте 18–44 лет), среднего (мужчины в возрасте 45–59 лет, женщины в возрасте 45–54 лет) и старшего (мужчины в возрасте 60 лет и старше, женщины — 55 лет и старше) возраста.
Источники информации
Формы 7-А (собес) Росстата «Сведения о медико-социальной экспертизе лиц в возрасте 18 лет и старше» за 2014–2023 гг. ФКУ «Главное бюро медико-социальной экспертизы по Республике Дагестан» Минтруда РФ.
Период исследования
Динамика и структура повторной инвалидности анализировались по годам в течение 2014–2023 гг.
Методы исследования
В ходе исследования применялись документальный, статистический и графический методы. Медико-социальная экспертиза проводилась согласно классификациям и критериям, используемым при осуществлении медико-социальной экспертизы граждан федеральными государственными учреждениями медико-социальной экспертизы1. В частности, проводились выкопировка данных из статистических документов о численности ППИ вследствие сахарного диабета, определение структуры повторной инвалидности по возрасту, определение распространения (уровня) повторной инвалидности вследствие данной патологии среди взрослого населения, ранжирование ППИ по тяжести (по группам инвалидности) и сравнение показателей повторной инвалидности в Республике Дагестан с аналогичными показателями в Северо-Кавказском федеральном округе (СКФО) и Российской Федерации в целом.
Этическая экспертиза
Работа осуществлена в рамках многоаспектного научного исследования, соответствие которого нормам биомедицинской этики подтверждено заключением локального этического комитета ФГБОУ ВО «Дагестанский государственный медицинский университет» Минздрава России (протокол № 12 от 6 марта 2023 г.).
Статистический анализ
Описательная статистика представлена в виде относительных интенсивных (уровень инвалидности вследствие сахарного диабета на 10 тыс. взрослого населения) и экстенсивных показателей (удельный вес ППИ различного возраста и различных групп инвалидности в общем контингенте ППИ вследствие сахарного диабета), характеризующих сравнительный аспект проблемы (Республика Дагестан, СКФО, Российская Федерация). Для количественной оценки тенденций динамических рядов использованы темп роста/убыли и показатель наглядности. Создание базы данных, их статистическая обработка (сводка и группировка числовых показателей ППИ, построение динамических рядов, определение среднегодового показателя, а также отображение числовых показателей и их соотношения) графически осуществлялись c использованием пакетов прикладной программы Statistica 10.
РЕЗУЛЬТАТЫ
Общее число ППИ вследствие всех болезней в Республике Дагестан за исследуемый период варьировало со среднегодовым показателем 50504,3 инвалида. В динамике численность ППИ увеличилась с 40 466 в 2014 г. до 56 327–77 189 в 2020–2021 гг. (темп роста составил 46,1–37,0% соответственно), но уменьшилась до 73 807–42–11 в 2022–2023 гг. (темп убыли составил 4,4–43,1%). Общая численность ППИ вследствие болезней эндокринной системы характеризовалась аналогичной динамикой (табл. 1).
Таблица 1. Общие сведения о повторной инвалидности взрослого населения вследствие сахарного диабета в Республике Дагестан в динамике за 10 лет (2014–2023 гг., абс., %)
Table 1. General information on repeated disability of the adult population due to diabetes mellitus in the Republic of Dagestan in dynamics over 10 years (2014–2023, abs., %)
Годы | Общее число ППИ вследствие всех болезней (абс. число) | Темп роста или убыли (%) | Из них | ||||
Общее число ППИ вследствие болезней эндокринной системы | В том числе | ||||||
Число ППИ вследствие сахарного диабета | Удельный вес ППИ вследствие сахарного диабета в общей численности ППИ вследствие БЭС (%) | ||||||
абс. число | темп роста или убыли (%) | абс. число | темп роста или убыли (%) | ||||
2014 | 40 466 | – | 1557 | – | 1283 | – | 82,4 |
2015 | 44 932 | 11,0 | 1638 | 5,2 | 1340 | 4,4 | 81,8 |
2016 | 44 197 | -1,6 | 1581 | -3,5 | 1317 | -1,7 | 83,3 |
2017 | 47 650 | 7,8 | 1624 | 2,7 | 1361 | 3,3 | 83,8 |
2018 | 39 917 | -16,2 | 1323 | -18,5 | 1110 | -18,4 | 83,9 |
2019 | 38 547 | -3,4 | 1410 | 6,6 | 1183 | 6,6 | 83,9 |
2020 | 56 327 | 46,1 | 2214 | 57,0 | 1840 | 55,5 | 83,1 |
2021 | 77 189 | 37,0 | 3008 | 35,9 | 2459 | 33,6 | 81,7 |
2022 | 73 807 | -4,4 | 2864 | -4,8 | 2358 | -4,1 | 82,3 |
2023 | 42 011 | -43,1 | 1582 | -44,8 | 1333 | -43,5 | 84,3 |
Итого за 10 лет | 505 043 | – | 18 801 | – | 15 584 | – | – |
В среднем за год | 50 504,3 | – | 1880,1 | – | 1558,4 | – | 83,1 |
Примечание. ППИ — повторно признанный инвалидом, БЭС — болезни эндокринной системы.
Note. ППИ — repeatedly recognized as disabled, БЭС — endocrine system diseases.
Численность ППИ вследствие сахарного диабета в 2014 г. составляла 1283, в последующем отмечалась нестабильная динамика. Так, в 2017 г. численность ППИ увеличилась до 1361, в 2018–2019 гг. уменьшилась до 1110–1183, в 2020–2022 гг. увеличилась до 1840–2358, что сменилось уменьшением до 1333 в 2023 г. (темп убыли составил 43,5%). В целом численность ППИ вследствие сахарного диабета в 2023 г. относительно исходного абсолютного показателя в 2014 г. увеличилась на 3,9%, тогда как в 2021–2022 гг. — на 91,7–83,8%.
ППИ вследствие сахарного диабета, согласно результатам анализа структурных показателей (удельные веса), составляли 82,4–84,3% от общей численности ППИ вследствие болезней эндокринной системы (табл. 1).
Уровень повторной инвалидности вследствие сахарного диабета среди взрослого населения в Республике Дагестан уменьшился с 6,2 на 10 тыс. взрослого населения в 2014 г. до 5,4 в 2019 г. В 2020–2022 гг. отмечался рост до 8,3–10,4. Однако в 2023 г. интенсивный показатель уменьшился до 5,8. Средний многолетний интенсивный показатель равнялся 7,1 на 10 тыс. взрослого населения. Показатель наглядности по отношению к уровню 2014 г., принятому за 100%, в динамике составлял в 2021 г. 175–167%, а в 2023 г. — 93,5%.
В структуре повторной инвалидности взрослого населения вследствие сахарного диабета по возрасту в Республике Дагестан (табл. 2) в 2014 г. было 474 инвалида молодого возраста (36,9% от общей численности ППИ), 620 инвалидов среднего возраста (48,3%) и 189 инвалидов старшего возраста (14,7%). В динамике численность ППИ молодого возраста в основном увеличивалась с максимальным ростом в 2021 г. (1022 ППИ), но в 2022–2023 гг. отмечалось уменьшение данного показателя. В контингенте ППИ среднего возраста увеличение численности отмечалось в 2015 и 2020–2021 гг., затем последовало уменьшение показателя (в 2023 г. — на 23,7% от исходного значения). Численность ППИ старшего возраста в основном увеличивалась и, несмотря на уменьшение показателя в 2023 г., была выше показателя 2014 г. на 67,7%. В структуре повторной инвалидности по возрасту в среднем за год удельный вес ППИ молодого возраста составлял 43%, среднего возраста — 40%, старшего возраста — 17%.
Таблица 2. Структура повторной инвалидности взрослого населения вследствие сахарного диабета в Республике Дагестан с учётом основных возрастных категорий в 2014–2023 гг., абс. (%)
Table 2. Structure of repeated disability of the adult population due to diabetes mellitus in the Republic of Dagestan taking into account the main age categories in 2014–2024, abs. (%)
Годы | Общее число повторно признанных инвалидами вследствие сахарного диабета | В том числе | ||||||
Молодой возраст (18–44 лет) | Средний возраст (мужчины — 45–59 лет, женщины — 45–54 лет) | Старший возраст (мужчины — 60 лет и старше, женщины — 55 лет и старше) | ||||||
абс. число | % | абс. число | % | абс. число | % | абс. число | % | |
2014 | 1283 | 100,0 | 474 | 36,9 | 620 | 48,3 | 189 | 14,7 |
2015 | 1340 | 100,0 | 533 | 39,8 | 634 | 47,3 | 173 | 12,9 |
2016 | 1317 | 100,0 | 594 | 45,1 | 543 | 41,2 | 180 | 13,7 |
2017 | 1361 | 100,0 | 660 | 48,5 | 510 | 37,5 | 191 | 14,0 |
2018 | 1110 | 100,0 | 522 | 47,0 | 426 | 38,4 | 162 | 14,6 |
2019 | 1183 | 100,0 | 522 | 44,1 | 471 | 39,8 | 190 | 16,1 |
2020 | 1840 | 100,0 | 774 | 42,1 | 726 | 39,5 | 340 | 18,5 |
2021 | 2459 | 100,0 | 1022 | 41,6 | 936 | 38,1 | 501 | 20,4 |
2022 | 2358 | 100,0 | 984 | 41,7 | 832 | 35,3 | 542 | 23,0 |
2023 | 1333 | 100,0 | 543 | 40,7 | 473 | 35,5 | 317 | 23,8 |
Итого за 10 лет | 15 584 | 100,0 | 6628 | – | 6171 | – | 2785 | – |
В среднем за год | 1558,4 | 100,0 | 663 | 43 | 617 | 40 | 279 | 17 |
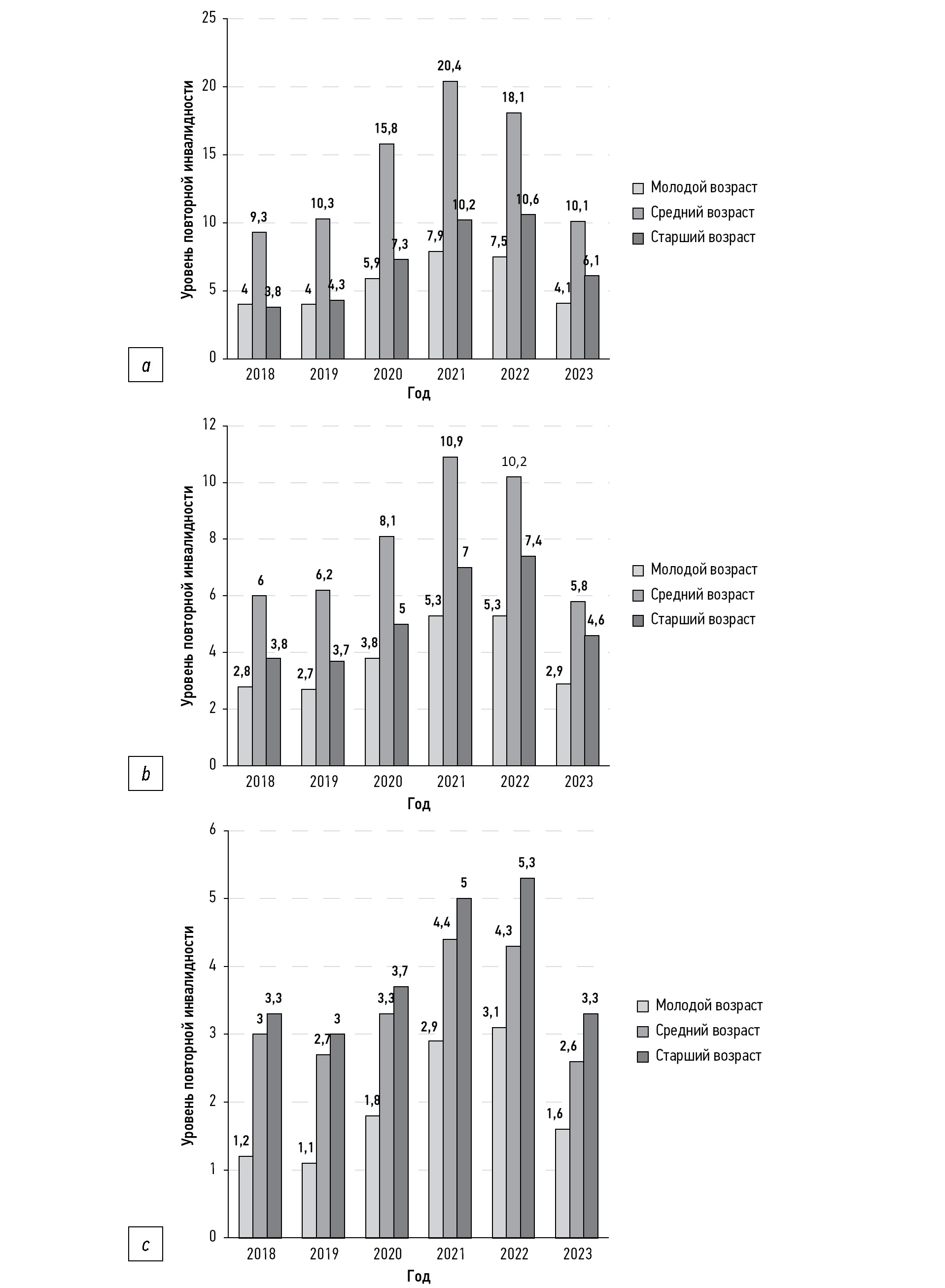
При распределении контингента ППИ вследствие сахарного диабета с учётом распространения повторной инвалидности среди различных возрастных категорий взрослого населения в Республике Дагестан интенсивный показатель ППИ молодого возраста составлял в 2014 г. 3,7 на 10 тыс. населения соответствующего возраста, ППИ среднего возраста — 14,2, старшего возраста — 6,2. В динамике уровень повторной инвалидности молодых лиц за период 2015–2017 гг. возрос до 5,1 на 10 тыс. населения соответствующего возраста, среднего и старшего возраста — уменьшился соответственно до 11,2 и 4,7 на 10 тыс. населения соответствующего возраста. Динамика интенсивного показателя повторной инвалидности основных возрастных групп взрослого населения в Республике Дагестан в сравнении с интенсивными показателями по СКФО и Российской Федерации в целом в период 2018–2023 гг. представлена на рис. 1a, b.
Рис. 1. Уровень повторной инвалидности на территориях Российской Федерации с учётом основных возрастных категорий взрослого населения (на 10 тыс. населения соответствующего возраста): a — Республика Дагестан, b — Северо-Кавказский федеральный округ, c — Российская Федерация.
Fig. 1. The level of repeated disability in the territories of the Russian Federation taking into account the main age categories of the adult population (per 10 thousand population of the corresponding age): a — Republic of Dagestan, b — North Caucasian Federal District, c — Russian Federation.
Структура повторной инвалидности взрослого населения вследствие сахарного диабета по группам инвалидности характеризовалась следующим образом. В Республике Дагестан в 2014 г. удельный вес инвалидов первой группы составлял 6,1% (78 ППИ), инвалидов второй группы было больше — 48,9% (627 ППИ), а инвалиды третьей группы составляли 45,1% (578 ППИ) от общего числа ППИ. В дальнейшем структура повторной инвалидности по тяжести претерпела изменения. Уменьшился удельный вес ППИ первой и второй группы, составив соответственно 5,4% (78 ППИ в среднем за год) и 21,8% (486 ППИ в среднем за год). Удельный вес ППИ с третьей группой увеличился и в 2023 г. равнялся 72,8% (995 ППИ в среднем за год). В СКФО и в Российской Федерации в целом структура повторной инвалидности по тяжести была аналогичной, однако имели место компонентные различия. Так, в СКФО удельный вес ППИ с первой и второй группой инвалидности был выше — 12,5 и 27,3% соответственно, а удельный вес ППИ с третьей группой инвалидности — ниже (60,2%) по сравнению с экстенсивными показателями по Республике Дагестан. В Российской Федерации в целом отмечался более высокий удельный вес ППИ со второй группой (30,4%) и меньший экстенсивный показатель ППИ с третьей группой (57,7%), чем в СКФО.
Наглядно результаты ранжирования субъектов СКФО по уровню повторной инвалидности вследствие сахарного диабета (на 10 тыс. взрослого населения) можно оценить по данным, представленным в табл. 3.
Таблица 3. Ранговые места субъектов СКФО по уровню повторной инвалидности взрослого населения вследствие сахарного диабета (на 10 тыс. взрослого населения)
Table 3. Ranking of subjects of the North Caucasus Federal District by the level of repeated disability of the adult population due to diabetes mellitus (per 10 thousand adult population)
2021 год | 2022 год | 2023 год | ||||||
Ранговые места | Регионы | Уровень | Ранговые места | Регионы | Уровень | Ранговые места | Регионы | Уровень |
– | Российская Федерация | 3,9 | – | Российская Федерация | 4,1 | – | Российская Федерация | 2,4 |
– | Северо-Кавказский федеральный округ | 6,9 | – | Северо-Кавказский федеральный округ | 6,8 | – | Северо-Кавказский федеральный округ | 3,9 |
1 | Республика Ингушетия | 13,1 | 1 | Республика Ингушетия | 13,1 | 1 | Республика Ингушетия | 8,9 |
2 | Республика Дагестан | 10,9 | 2 | Республика Дагестан | 10,4 | 2 | Республика Дагестан | 5,8 |
3 | Республика Северная Осетия — Алания | 8,8 | 3 | Республика Северная Осетия — Алания | 9,8 | 3 | Карачаево-Черкесская Республика | 5,2 |
4 | Карачаево-Черкесская Республика | 7,8 | 4 | Карачаево-Черкесская Республика | 6,7 | 4 | Республика Северная Осетия — Алания | 5,1 |
5 | Кабардино-Балкарская Республика | 4,1 | 5 | Кабардино-Балкарская Республика | 4,3 | 5 | Кабардино-Балкарская Республика | 2,2 |
6 | Ставропольский край | 3,4 | 6 | Ставропольский край | 3,7 | 6 | Чеченская Республика | 2,1 |
7 | Чеченская Республика | 3,3 | 7 | Чеченская Республика | 3,3 | Ставропольский край | 2,1 | |
ОБСУЖДЕНИЕ
Для достижения поставленной цели решены следующие задачи:
- проведён анализ динамики повторной инвалидности вследствие сахарного диабета взрослого населения в Республике Дагестан;
- определена структура повторной инвалидности взрослого населения вследствие сахарного диабета по возрасту и по тяжести в Республике Дагестан;
- проведена сравнительная оценка показателей повторной инвалидности взрослого населения вследствие сахарного диабета в Республике Дагестан с показателями по Северо-Кавказскому федеральному округу и в целом по Российской Федерации.
Таким образом, представлены результаты анализа показателей повторной инвалидности взрослого населения вследствие сахарного диабета в Республике Дагестан в период 2014–2023 гг., которые свидетельствуют, что эта патология формирует нозологическую структуру инвалидности вследствие класса эндокринных заболеваний (82,4–84,3%). По уровню повторной инвалидности Республика Дагестан занимает второе ранговое место среди субъектов СКФО (в 2023 г. ранжированы 7 ранговых мест).
Динамика численности ППИ в период 2018–2019 гг. характеризовалась уменьшением (показатель наглядности по отношению к 2014 г. составлял 82,3–87,1%). В период вспышки коронавирусной инфекции COVID-19 (в 2020 г.) и в постковидном периоде (в 2021–2022 гг.) отмечалось увеличение абсолютного числа ППИ (показатель наглядности равнялся соответственно 133,9–175,8–167,7%). Затем последовало уменьшение численности ППИ (показатель наглядности в 2024 г. составил 93,5%). Аналогичная тенденция имела место в СКФО и в целом в Российской Федерации.
В результате ранжирования территорий Российской Федерации выявлены различия в распространённости повторной инвалидности среди взрослого населения в Республике Дагестан, СКФО и в целом по стране. Среди всех субъектов Российской Федерации по распространённости повторной инвалидности вследствие сахарного диабета среди взрослого населения Республика Дагестан занимает второе ранговое место (всего выделено 18 ранговых мест) с интенсивным показателем 5,8 на 10 тыс. населения (в РФ — 2,4, в СКФО — 3,9).
Ограниченность объёма статьи не позволяет представить ряд таблиц и детально рассмотреть все полученные нами данные в ходе проведённого анализа интенсивных показателей повторной инвалидности вследствие сахарного диабета в различных возрастных контингентах взрослого населения (молодого, среднего и старшего возраста). В связи с этим ограничимся констатацией следующих результатов аналитических таблиц. Среди субъектов СКФО Республика Дагестан по интенсивному показателю повторной инвалидности населения молодого возраста занимает третье ранговое место, населения среднего возраста — первое ранговое место, населения старшего возраста — третье ранговое место.
По уровню повторной инвалидности тяжёлой второй группы республика занимает третье ранговое место — 1,3 на 10 тыс. населения (в СКФО — 1,1, в Российской Федерации — 0,7). Анализ соотношения удельного веса различных групп инвалидности в структуре повторной инвалидности вследствие сахарного диабета взрослого населения на территориях Российской Федерации выявил существенные различия. Так, во-первых, более низкие экстенсивные показатели ППИ с тяжёлыми первой и второй группами отмечались в Республике Дагестан; по СКФО удельный вес ППИ с первой группой был выше, а со второй группой — ниже по сравнению с соответствующими показателями по Российской Федерации. Во-вторых, наиболее высокие экстенсивные показатели ВПИ с третьей группой отмечались в Республике Дагестан; в СКФО соответствующие показатели были выше, чем в целом по стране.
Необходимо подчеркнуть, что структура повторной инвалидности вследствие сахарного диабета по возрасту в Республике Дагестан характеризуется превалированием инвалидов молодого и среднего (трудоспособного) возраста (в целом по стране преобладают инвалиды старшего возраста).
ЗАКЛЮЧЕНИЕ
На основе изученных показателей повторной инвалидности взрослого населения вследствие сахарного диабета можно судить о массиве больных в Республике Дагестан, повторно освидетельствованных вследствие стойких нарушений функций и ассоциированных с ними ограничений жизнедеятельности, обусловленных осложнениями этой ведущей эндокринной патологии. Представленная база данных свидетельствует об остроте проблемы распространённости инвалидизирующих осложнений сахарного диабета в республике и имеет научно-практическую значимость для проведения многопрофильной медико-социальной реабилитации инвалидов и профилактики инвалидности населения.
ДОПОЛНИТЕЛЬНАЯ ИНФОРМАЦИЯ
Источник финансирования. Авторы заявляют об отсутствии внешнего финансирования при проведении исследования.
Конфликт интересов. Авторы декларируют отсутствие явных и потенциальных конфликтов интересов, связанных с публикацией настоящей статьи.
Вклад авторов: М.Н. Меджидов — планирование исследования, обоснование концепции исследования, научное редактирование рукописи; Р.Т. Кафаров — обзор публикаций по теме, сбор, анализ, систематизация и статистическая обработка данных, написание текста рукописи, иллюстрация рукописи; Ж.А. Ашуев — интерпретация результатов исследования, научное редактирование рукописи; С.Н. Пузин — обобщение результатов исследования, научное редактирование рукописи; М.А. Шургая — проведение сравнительного анализа, интерпретация результатов исследования, научное редактирование рукописи.
ADDITIONAL INFORMATION
Funding source. This study was not supported by any external sources of funding.
Competing interests. The authors declare that they have no competing interests.
Authors’ contribution: M.N. Medzhidov — research planning, substantiation of the research concept, scientific editing of the manuscript; R.T. Kafarov — review of publications on the topic, collection, analysis, systematization and statistical data processing, writing the text of the manuscript, illustration of the manuscript; Zh.A. Ashuev — interpretation of research results, scientific editing of the manuscript; S.N. Puzin — generalization of research results, scientific editing of the manuscript; M.A. Shurgaya — comparative analysis, interpretation of research results, scientific editing of the manuscript.
1 Приказ Минтруда России «О классификациях и критериях, используемых при осуществлении медико-социальной экспертизы граждан федеральными государственными учреждениями медико-социальной экспертизы» № 1024н от 17.12.2015 г., № 585н от 27.08.2019 г.
About the authors
Medzhid N. Medzhidov
Dagestan State Medical University
Email: medzhidov_mn@mail.ru
ORCID iD: 0009-0001-6320-7952
SPIN-code: 4969-4651
MD, Dr. Sci. (Medicine), Professor
Russian Federation, MakhachkalaRizvan T. Kafarov
Dagestan State Medical University
Email: Rizvan.Kafarov@mail.ru
ORCID iD: 0009-0002-0896-1845
SPIN-code: 6829-3780
Russian Federation, Makhachkala
Zharullach A. Ashuev
Russian Medical Academy of Continuous Professional Education
Email: drashuev@gmail.com
ORCID iD: 0000-0003-0729-7954
SPIN-code: 2512-5107
MD, Dr. Sci. (Medicine), Professor
Russian Federation, MoscowSergey N. Puzin
Federal Scientific and Clinical Center of Resuscitation and Rehabilitation
Email: s.puzin2012@yandex.ru
ORCID iD: 0000-0002-9711-3532
SPIN-code: 2206-0700
MD, Dr. Sci. (Medicine), Professor, academician of the Russian Academy of Sciences
Russian Federation, Lytkino, Moscow regionMarina A. Shurgaya
Russian Medical Academy of Continuous Professional Education
Author for correspondence.
Email: daremar@mail.ru
ORCID iD: 0000-0003-3856-893X
SPIN-code: 4521-0147
MD, Dr. Sci. (Medicine), Professor
Russian Federation, MoscowReferences
- Global Reports on Diabetes. Geneva: World Health Organization International Journal of Noncommunicable Diseases. WHO; 2016. 87 p. doi: 10.4103/2468-8827.184853
- Jaacks LM, Siegel KR, Gujral UP, Narayan KMV. Type 2 diabetes: a 21st century epidemic. Best Pract Res Clin Endocrinol Metab. 2016;30(3):331–343. doi: 10.1016/j.beem.2016.05.003
- Unnikrishnan R, Pradeepa R, Joshi SR, Mohan V. Type 2 diabetes: demystifying the global epidemic. Diabetes. 2017;66(6):1432–1442. doi: 10.2337/db16-0766
- Dedov II, Shestakova MV, Mayorov AYu. Algorithms of specialized medical care for patients with diabetes mellitus. 11th issue. Moscow; 2023. 236 p. (in Russ.)
- Adriaanse MC, Drewes HW, Van der Heide I, et al. The impact of comorbid chronic conditions on quality of life in type 2 diabetes patients. Qual Life Res. 2016;25(1):175–182. doi: 10.1007/s11136-015-1061-0
- Heidemann C, Du Y, Baumert J, et al. Social inequality and diabetes mellitus — developments over time among the adult population in Germany. Journal of Health Monitoring. 2019;4(2):11–28. doi: 10.25646/5986
- Seferovic PM, Petrie MC, Filippatos GS, et al. Type 2 diabetes mellitus and heart failure: a position statement from the heart failure association of the European Society of Cardiology. Eur J Heart Fail. 2018;20(5):853–872. doi: 10.1002/ejhf.1170
- Mauri-Obradors E, Estrugo-Devesa A, Jané-Salas E, et al. Oral manifestations of Diabetes Mellitus. A systematic review. Med Oral Patol Oral Cir Bucal. 2017;2(5):e586–e594. doi: 10.4317/medoral.21655
- Poskerová H, Linhartová PB, Hollá LI. Oral diseases in diabetic patients. Vnitr Lek. 2019;65(4):314–320. doi: 10.36290/vnl.2019.055
- Vasilenko OYu. Patterns of formation of general disability due to diabetes mellitus in the Russian Federation. Bulletin of the All-Russian Society of Specialists in Medical and Social Expertise and Rehabilitation Industry. 2011;(4):110–118. EDN: RVNJGD
- Radikova YuN. Analysis of the total contingent of disabled people due to diseases of the endocrine system by appeals to the bureau of medical and social expertise of Moscow in 2006–2010. Medical and social problems of disability. 2012;(3):71–74. EDN: TCBXRH
- Kashirina EZh, Bryzgalina SM, Zhilina NM. Disability due to diabetes mellitus and medical and social rehabilitation. Modern problems of science and education. 2013;(2):109–114. EDN: RXUNRT
- Puzin SN, Shurgaya MA, Karaeva AF, et al. Epidemiological aspects of primary disability due to diseases of the endocrine system in the Russian Federation. Bulletin of the All-Russian Society of Specialists in Medical and Social Expertise, Rehabilitation and Rehabilitation Industry. 2018;(4):17–23. doi: 10.17238/issn1999-2351.2018.4.17-23
- Chikinova LN, Begma IV, Zapariy NS, Boltenko ZhV. Comprehensive study of disability due to diabetes mellitus in the Russian Federation. Medical and Social Expert Evaluation and Rehabilitation. 2018;21(1–2):55–59. doi: 10.18821/1560-9537-2018-21-1-55-59
- Shurgaya MA, Chludeeva TA, Mammarayeva AM. Diabetes mellitus in the structure of the repeated disability of adult population. Medical and Social Expert Evaluation and Rehabilitation. 2018;21(3–4):156–159. doi: 10.18821/1560-9537-2018-21-3-156-159
Supplementary files




