Aspects of medical and social rehabilitation for female reproductive system malignant neoplasms
- Authors: Idrisova L.S.1, Shurgaya M.A.2, Puzin S.N.2
-
Affiliations:
- Aimani Kadyrova Republican Clinical Center for Maternal and Child Welfare
- Russian Medical Academy of Continuous Professional Education
- Issue: Vol 27, No 3 (2024)
- Pages: 153-162
- Section: Original study articles
- Submitted: 19.02.2025
- Accepted: 19.02.2025
- Published: 15.08.2024
- URL: https://rjmseer.com/1560-9537/article/view/657503
- DOI: https://doi.org/10.17816/MSER657503
- ID: 657503
Cite item
Abstract
Background: For the effective implementation of health-saving measures, it is necessary to take into account regional peculiarities and develop appropriate medical and social rehabilitation measures for each specific region.
Aim: To present the medical and social rehabilitation of women with oncogynecological diseases of the reproductive system in the aspect of providing medical care to the female population in the Chechen Republic.
Materials and methods: The object of the study: women with cervical cancer (PC), uterine body cancer (RTM) and ovarian cancer (ovarian cancer) from among the adult female population in the Chechen Republic. The data on the morbidity and disability of women (adult population) presented in the data of the federal state statistical observation — form No. 35 “Information on patients with malignant neoplasms” and form No. 7-sobes “Information on the medical and social examination of persons aged 18 years and older” in the Chechen Republic, as well as the submitted in the collection “The state of oncological care for the Russian population in 2020”.
Results: The routing of oncogynecological patients on the way to medical care included a stage of treatment selection depending on the prevalence and severity of the tumor process. Radical treatment was completed in 54 patients with breast cancer (58.1% of those newly diagnosed), 47 patients with breast cancer (62.7%) and 24 patients with breast cancer (38.7%). The range of disability caused by impaired functions (I–IV degrees) of the body in women included impaired ability to move, self-care and work. The second and third degrees of impairment were more common in people with disabilities due to ovarian cancer, while the first degree occurred in people with disabilities due to cancer of the uterine body. Accelerated recovery was carried out, including consultations with a surgeon and an anesthesiologist at the stage of preliminary rehabilitation of women with reproductive system diseases.
Conclusion: When implementing a medical and social rehabilitation program, a personalized approach is most effective, taking into account the existing disorders of body functions and limitations of vital activity, the complexity and multidirectionality of measures and the strategy of their continuity. The accessibility of medical and social rehabilitation and the widespread involvement of the female population in preventive programs are fundamentally important for the health of the population.
Full Text
Обоснование
Инвалидность населения — важнейший показатель при оценке общественного здоровья [1]. Показатели стойкого нарушения здоровья составляют информационную базу, необходимую для построения дорожной карты совершенствования программ по повышению доступности и качества оказания медицинской помощи, а также для осуществления профилактики инвалидизации населения [2].
Злокачественные новообразования (ЗНО) относятся к числу социально значимых заболеваний с высокой распространённостью среди населения и инвалидизирующими осложнениями [3, 4]1. Регионы проживания населения различаются по ряду параметров: демографическому составу (половозрастному), поведенческим факторам (индивидуальной линии поведения людей), распространённости факторов риска, а также по уровню и качеству оказания медицинской помощи и осуществлению профилактических мероприятий [5–7].
Уровень инвалидности вследствие класса болезней ЗНО в Чеченской Республике ниже по сравнению с показателями по Северо-Кавказскому федеральному округу (СКФО). Рак различных локализаций наиболее часто встречается среди нозологических форм ЗНО. Удельный вес инвалидов с тяжёлыми II и I группами инвалидности в республике выше по сравнению с экстенсивными показателями по федеральному округу Российской Федерации. Обусловлено это онкозапущенностью — выявлением рака на поздних стадиях (у 55–60% от общей численности больных ЗНО III–IV стадии в период 2011–2015 гг.) [8].
Цель исследования — представить картину медико-социальной реабилитации женщин с онкогинекологическими заболеваниями репродуктивной системы в аспекте оказания медицинской помощи женскому населению в Чеченской Республике.
Материалы и методы
Дизайн исследования
Проведено эпидемиологическое ретроспективное оценочное исследование.
Критерии соответствия
Критерии включения: женщины, больные и инвалиды, в возрасте 18–60 лет и старше с раком репродуктивной системы (тела и шейки матки и яичников).
Критерии невключения: женщины, больные и инвалиды, в возрасте 18–60 лет и старше, не страдающие раком репродуктивной системы (тела и шейки матки и яичников).
Методология исследования
Объект исследования
Объектами наблюдения являлись когорты женщин, больных и инвалидов, в возрасте 18–60 лет и старше с раком репродуктивной системы (тела и шейки матки и яичников) в Чеченской Республике. Проведён анализ показателей различных методов лечения и нуждаемости в мероприятиях медико-социальной реабилитации в Чеченской Республике в сравнительном аспекте с СКФО и Российской Федерацией в целом.
Источники информации
Форма № 35 «Сведения о больных со злокачественными новообразованиями» и форма № 7-собес «Сведения о медико-социальной экспертизе лиц в возрасте 18 лет и старше» по Чеченской Республике, а также данные, представленные в сборнике «Состояние онкологической помощи населению России в 2020» [9].
Продолжительность исследования и условия проведения
Анализ проводился за период 2014–2020 гг. Исследование было выполнено на базе медицинского института ФГБОУ ВО «Чеченский государственный университет им. А.А. Кадырова».
Методы исследования
В ходе исследования проводилась выкопировка данных и применялись документальный, статистический и графический методы. Медико-социальная экспертиза проводилась согласно классификациям и критериям, используемым при осуществлении медико-социальной экспертизы граждан федеральными государственными учреждениями медико-социальной экспертизы2.
Статистический анализ
Описательная статистика представлена в виде экстенсивных коэффициентов. Сравнение групп по числовым шкалам осуществлялось с помощью непараметрического критерия Краскела–Уоллиса. Оценка здоровья в комплексе «заболеваемость–инвалидность» у женщин с раком органов репродуктивной системы проведена на основе интервальных рядов динамики, определены коэффициенты корреляции тенденций первичной заболеваемости (контингент впервые выявленных больных) в соответствии с динамикой первичной инвалидности вследствие рака матки (тела и шейки) и рака яичников. Уровень статистической значимости был зафиксирован на уровне вероятности ошибки 0,05. Статистическая обработка данных выполнена в программе Statistica 10.
Этическая экспертиза
Соответствие исследования нормам биомедицинской этики подтверждено решением Локального этического комитета при медицинском институте федерального государственного бюджетного образовательного учреждения высшего образования «Чеченский государственный университет имени Ахмата Абдулхамидовича Кадырова» (Протокол № 5 от 03 июня 2021 г.).
Результаты
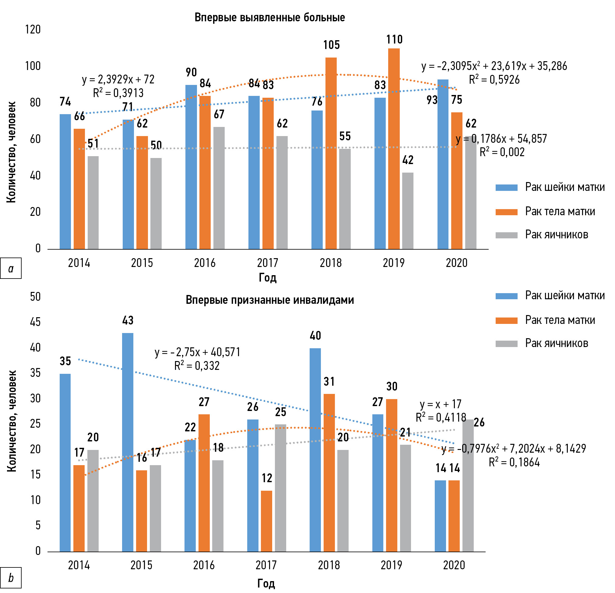
Оценка характера зависимости значений заболеваемости и инвалидности в динамике выявила следующее (рис. 1). Динамика численности больных (рис. 1a) в контингенте впервые выявленных больных раком шейки матки (РШМ) демонстрировала рост в 2016 г., затем уменьшение в 2017–2018 гг. и вновь рост в 2019–2020 гг. (R2=0,391). В контингенте больных раком тела матки (РТМ) отмечался рост в 2016–2019 гг., а в 2020 г. имело место уменьшение (R2=0,593). В контингенте больных раком яичников (РЯ) отмечалось волнообразное изменение с максимальным значением в 2016 г., уменьшением в последующем и вновь ростом в 2020 г. (R2=0,002).
Рис. 1. Оценка женского здоровья в комплексе «заболеваемость–инвалидность» у женщин со злокачественными новообразованиями органов репродуктивной системы в Чеченской Республике. a — впервые выявленные больные раком органов репродуктивной системы гинекологической локализации, b — впервые признанные инвалидами.
Fig. 1. Assessment of women’s health in the “morbidity-disability” complex of women with malignant neoplasms of the reproductive system in the Chechen Republic. a — newly diagnosed patients with malignant neoplasms of the reproductive system of gynecological localization, b — newly recognized as disabled.
Выявлены противоположные тенденции изменения численности нозологических контингентов впервые признанных инвалидами (ВПИ): к 2020 г. отмечены рост контингента ВПИ вследствие РЯ (R2=0,412), снижение контингентов ВПИ вследствие РШМ (R2=0,332) и РТМ (R2=0,186), при этом имело место волнообразное изменение: максимальное значение было отмечено в 2018–2019 гг. с последующим снижением до минимума в 2020 г., что может быть объяснено с помощью полиномиальной функции (рис. 1b). Контингент инвалидов вследствие РШМ характеризовали сильная отрицательная корреляционная связь между когортой ВПИ и когортой впервые выявленных больных (-0,96) и отсутствие связи между кумулятивными когортами инвалидов и больных, состоящих на учёте на конец отчётного года (0,00).
В контингенте инвалидов вследствие РТМ выявлена умеренная положительная связь как между когортой ВПИ и когортой впервые выявленных больных (0,64), так и между кумулятивными когортами инвалидов и больных, состоящих на учёте на конец отчётного года (0,44). Контингент инвалидов вследствие РЯ отличало существование слабой положительной связи между когортой ВПИ и когортой впервые выявленных больных (0,18), но взаимосвязь достигла умеренной силы между кумулятивными когортами инвалидов и больных, состоящих на учёте на конец отчётного года (0,63). Найденные значения коэффициентов корреляции указывают на различающуюся интенсивность связи между абсолютными показателями заболеваемости ЗНО гинекологической локализации и обусловленной ими инвалидностью.
Маршрутизация онкогинекологических пациентов на пути оказания медицинской помощи включала этап выбора лечения (за основу взяты данные за 2020 г.). Выбор метода лечения осуществлялся в зависимости от распространённости и тяжести опухолевого процесса.
В Чеченской Республике лечение РШМ, впервые зарегистрированного в 2020 г. и подлежащего радикальному лечению, закончено у 54 больных (в СКФО — у 474 больных, в целом по России — у 8799 больных), доля от впервые выявленных больных составила 58,1% (в СКФО — 65,2%, в целом по России — 58,3%) (рис. 2).
Рис. 2. Показатели лечения больных раком шейки матки, впервые зарегистрированных в 2020 г. и подлежащих радикальному лечению (2020 г., процент от впервые выявленных). СКФО — Северо-Кавказский федеральный округ.
Fig. 2. Treatment rates for patients with cervical cancer, first registered in 2020, subject to radical treatment (2020, % of newly diagnosed). СКФО — North Caucasus Federal District.
Лечение не было закончено и подлежало продолжению у 35 больных РШМ (в СКФО — у 186 больных, в целом в России — у 3025 больных), доля от впервые выявленных больных составила 37,6% (в СКФО — 25,6%, в целом по России — 19,9%), в том числе с использованием следующих методов лечения: только хирургического — 42,6% (в СКФО — 31,2%, в целом по России — 39,9%), комбинированного или комплексного (кроме химиолучевого) — 57,4% (в СКФО — 40,7%, в целом по России — 27,8%). Только лучевой метод лечения в Чеченской Республике не применялся (в СКФО был применён у 16,5% больных, в целом по России — у 16,7% больных).
Основным подходом к лечению независимо от стадии РТМ являлось радикальное хирургическое вмешательство, проводимое как самостоятельно, так и в комбинации с другими методами, в том числе при реализованной фертильной функции, опухолях с метастазами вне шейки и тела матки (за исключением лимфоузлов) и сочетанной патологии. В Чеченской Республике лечение РТМ, впервые зарегистрированного в 2020 г. и подлежащего радикальному лечению, закончено в 2020 г. у 47 больных (в СКФО — у 630 больных, в целом по России — у 16 411 больных), доля от впервые выявленных больных составила 62,7% (в СКФО — 70,7%, в целом по России — 70,3%) (рис. 3). Лечение не было закончено и подлежало продолжению у 14 больных (в СКФО — у 116 больных, в целом по России — у 311 больных), доля от впервые выявленных больных составила 18,7% (в СКФО — 13,0%, в целом по России — 13,3%), в том числе с использованием следующих методов лечения: только хирургического — 70,2% (в СКФО — 59,5%, в целом по России — 61,8%), комбинированного или комплексного (кроме химиолучевого) — 29,8% (в СКФО — 38,7%, в целом по России — 37,1%). Только лучевой метод лечения в Чеченской Республике не применялся (в СКФО был применён у 1,7% больных, в целом по России — у 1,1% больных).
Рис. 3. Показатели лечения больных раком тела матки, впервые зарегистрированных в 2020 г. и подлежащих радикальному лечению (2020 г., процент от впервые выявленных). СКФО — Северо-Кавказский федеральный округ.
Fig. 3. Treatment rates for patients with uterine cancer, first registered in 2020, subject to radical treatment (2020, % of newly diagnosed). СКФО — North Caucasus Federal District.
При всех стадиях РЯ выполнялось радикальное хирургическое лечение — экстирпация матки с придатками, удаление большого сальника и ревизия органов брюшной полости и малого таза для определения. Проводились стадирование, выявление метастатических очагов и последующая лимфаденэктомия. При отсутствии условий для осуществления радикального оперативного вмешательства (в случаях, когда препятствуют объёмы и распространённость опухоли) проводились неоадъювантная химиотерапия для циторедукции и последующее оперативное пособие. В Чеченской Республике лечение РЯ, впервые зарегистрированного в 2020 г. и подлежащего радикальному лечению, было закончено в 2020 г. у 24 больных (в СКФО — у 336 больных, в целом по России — у 6058), доля от впервые выявленных больных составила 38,7% (в СКФО — 53,4%, в целом по России — 48,7%) (рис. 4). Лечение не было закончено и подлежало продолжению у 20 больных (в СКФО — у 154, в целом по России — у 2597), доля от впервые выявленных больных составила 32,3% (в СКФО — 24,5%, в целом по России — 20,9%), в том числе с использованием только хирургического метода лечения — 16,7% (в СКФО — 39,6%, в целом по России — 40,0%), комбинированного или комплексного (кроме химиолучевого) — 83,3% (в СКФО — 60,4%, в целом по России — 60,0%).
Рис. 4. Показатели лечения больных раком яичников, впервые зарегистрированных в 2020 г. и подлежащих радикальному лечению (2020 г., процент от впервые выявленных). СКФО — Северо-Кавказский федеральный округ.
Fig. 4. Treatment rates of ovarian cancer cases newly registered in 2020 subject to radical treatment (2020, % of newly diagnosed). СКФО — North Caucasus Federal District.
Противоопухолевой терапии ЗНО сопутствуют осложнения, обусловленные как онкозаболеванием, так и его лечением. Среди них наиболее часто встречаются болевой и поствариоэктомический (посткастрационный) синдром, дистресс, нарушения сексуальной функции, общая интоксикация организма, синдром хронической усталости.
В соответствии со стандартом хирургического подхода проводилось ускоренное восстановление с включением консультации хирурга и анестезиолога на этапе предварительной реабилитации женщин с ЗНО репродуктивной системы. После радикального лечения пациенткам с признаками слабости мышц тазового дна назначались изометрические упражнения для укрепления тазовой диафрагмы и улучшения функционального состояния мышц. Проводились купирование болевого синдрома, коррекция поствариоэктомического (посткастрационного) синдрома, дезинтоксикация организма, психокоррекция.
По результатам проведённого лечения для продолжения реабилитационного процесса при первичном освидетельствовании и при направлении на повторное освидетельствование в бюро медико-социальной экспертизы проводилась клинико-экспертная диагностика с целью получения полной информации о выраженности стойких нарушений функций организма и видах и степени ограничения жизнедеятельности и формировалось заключение об уровне инвалидности.
При РШМ или РТМ I и II стадии (T1N 0M0) после радикального лечения стойкие нарушения функции системы крови и иммунной системы (МКФ: B430–439) оценивались в диапазоне 10–30% (незначительные). При I и II стадии (T1,2aN 0,1M0) после радикального лечения без местных и/или общих осложнений стойкие нарушения функций системы крови и иммунной системы, сердечно-сосудистой, эндокринной систем и метаболизма (МКФ: B430–439, B410–429, B540–559) оценивались в диапазоне 40–60% (умеренные, I степень). Устанавливалась третья группа инвалидности.
При II и III стадии (T1,2a,b,N 1,2,3M0) после радикального лечения с наличием местных и/или общих осложнений (неустранимые урогенитальный, ректовагинальный свищи), паллиативного лечения со стабилизацией опухолевого процесса стойкие нарушения функций системы крови и иммунной системы, сердечно-сосудистой, дыхательной, эндокринной систем и метаболизма, мочевыделительной функции (МКФ: B430–439, B410–429, B440–449, B540–559, B610–639, B640–679) оценивались в диапазоне 70–80% (выраженные, II степень). Устанавливалась вторая группа инвалидности.
При IV стадии (T1,2,3,4N 1,2,3M1), инкурабельном состоянии стойкие нарушения функций системы крови и иммунной системы, нейромышечных, скелетных и связанных с движением (статодинамических) функций, сердечно-сосудистой, дыхательной, эндокринной систем и метаболизма, пищеварительной системы, мочевыделительной функции, нарушения психических функций (МКФ: B110–139, B140–189, B430–439, B410–429, B440–449, B540–559, B510–539, B610–639, B640–679, B710–789) оценивались в диапазоне 90–100% (значительно выраженные, III степень). Устанавливалась первая группа инвалидности.
При РЯ II и III стадии (T1,2,3,4N 1,2,3M0) после радикального лечения с наличием местных и/или общих осложнений, при раке яичников после паллиативного лечения со стабилизацией опухолевого процесса стойкие нарушения функций системы крови и иммунной системы, сердечно-сосудистой, дыхательной, эндокринной систем и метаболизма, мочевыделительной функции (МКФ: B430–439, B410–429, B440–449, B540–559, B610–639, B640–679) оценивались в диапазоне 70–80% (выраженные, II степень). Устанавливалась вторая группа инвалидности.
При РЯ IV стадии (T1,2,3,4N 1,2,3M1), инкурабельном состоянии стойкие нарушения функций системы крови и иммунной системы, нейромышечных, скелетных и связанных с движением (статодинамических) функций, сердечно-сосудистой, дыхательной, эндокринной систем и метаболизма, пищеварительной системы, мочевыделительной функции, психических функций (МКФ: B110–139, B140–189, B430–439, B410–429, B440–449, B540–559, B510–539, B610–639, B640–679, B710–789) оценивались в диапазоне 90–100% (значительно выраженные, III степень). Устанавливалась первая группа инвалидности.
Спектр ограничений жизнедеятельности, обусловленных нарушением функций организма у женщин с инвалидностью вследствие рака репродуктивной системы гинекологической локализации, включал нарушение способности к передвижению, самообслуживанию и трудовой деятельности (табл. 1). Контингенты инвалидов различались по степени выраженности ограничений жизнедеятельности: II и III степень чаще диагностированы у инвалидов вследствие рака яичников, тогда как I степень — у инвалидов вследствие рака тела матки. В целом в контингентах инвалидов преобладали лица с I степенью ограничения различных видов жизнедеятельности, за исключением нарушения способности к труду — II степень выраженности этого ограничения жизнедеятельности чаще отмечалась у инвалидов вследствие рака яичников (p <0,0001).
Таблица 1. Распределение женщин-инвалидов вследствие рака репродуктивной системы гинекологической локализации с учётом степени ограничений различных видов жизнедеятельности, n (%)
Table 1. Distribution of women with disabilities due to cancer of the reproductive system of gynecological localization, taking into account the degree of limitations of various types of life activities (n, %)
Основное заболевание | ||||
Виды ограничений жизнедеятельности | Рак шейки матки (n=536) | Рак тела матки (n=333) | Рак яичников (n=346) | p (df=6) |
Способность к передвижению, степень: | <0,0001 | |||
первая | 233 (43,47) | 171 (51,35) | 134 (38,73) | |
вторая | 56 (10,45) | 28 (8,41) | 63 (18,21) | |
третья | 36 (6,72) | 11 (3,30) | 26 (7,51) | |
не установлено | 211 (39,37) | 123 (36,94) | 123 (35,55) | |
Способность к самообслуживанию, степень: | <0,0001 | |||
первая | 354 (66,04) | 248 (74,47) | 167 (48,27) | |
вторая | 136 (25,37) | 69 (20,72) | 153 (44,22) | |
третья | 34 (6,34) | 15 (4,50) | 26 (7,51) | |
не установлено | 12 (2,24) | 1 (0,30) | (0,00) | |
Способность к трудовой деятельности, степень: | <0,0001 | |||
первая | 245 (45,71) | 194 (58,26) | 76 (22,03) | |
вторая | 231 (43,10) | 115 (34,53) | 201 (58,26) | |
третья | 50 (9,33) | 17 (5,11) | 58 (16,81) | |
не установлено | 10 (1,87) | 7 (2,10) | 10 (2,90) | |
По результатам экспертно-реабилитационной диагностики формировалась индивидуальная программа реабилитации и абилитации инвалида, которая включала потребность в медицинской реабилитации, санаторно-курортном лечении, профессиональной реабилитации (профессиональное образование, содействие в трудоустройстве, в том числе на специальных рабочих местах), социальной адаптации, физкультурно-оздоровительных мероприятиях.
На функциональные нарушения благотворно влияют дозированная физическая нагрузка (лечебная гимнастика, терренкур), физиотерапевтические процедуры с учётом противопоказаний, дыхательные упражнения, занятия в бассейне, терапия минеральными водами, гало- и спелеотерапия. Эрготерапия и возвращение к трудовой деятельности ассоциируются у женщин с успешностью противоопухолевой терапии и качеством жизни.
Обсуждение
Показатель завершённости лечения зарегистрированных в исследуемом году больных, подлежащих радикальному лечению, в Чеченской Республике меньше средних показателей по СКФО и по России в целом при более высоких показателях удельного веса больных, у которых лечение будет продолжено, в том числе с использованием комбинированного/комплексного метода. В связи с этим необходимо отметить, что в Чеченской Республике имеют место низкие показатели в аспекте как активного выявления и морфологической верификации, так и диспансерного наблюдения больных в течение пяти и более лет. Поздняя диагностика обусловливает инвалидность и её тяжесть у женщин с раком репродуктивной системы и потребность в многоплановой персонифицированной медико-социальной реабилитации [10, 11].
Лечебный процесс и реабилитация неразрывны. В связи с этим необходимо отметить, что в республике отсутствуют специализированные онкореабилитационные центры, пациенты проходят восстановление в общих медицинских учреждениях. Восстановительное лечение включает медикаментозную терапию, физиотерапевтические процедуры, лечебную физкультуру и массаж, однако доступность этих услуг ограничена для жителей сельской местности.
Уровень тревожных и депрессивных состояний у женщин с онкозаболеваниями высок, но специалистов-психоонкологов в регионе недостаточно. Женщины после онкотерапии часто испытывают трудности с возвращением к прежней деятельности из-за физических и когнитивных нарушений. Низкие показатели возвращения к трудовой деятельности связаны с отсутствием программ переквалификации, адаптации рабочих мест и социальной поддержки трудоустройства.
Экологически неблагоприятная ситуация вследствие масштабной нефтедобычи (канцерогенные выбросы), факторы нездорового образа жизни являются факторами риска онкозапущенности и инвалидизации женщин вследствие ЗНО [12].
Представляются целесообразными рекомендации по расширению сети реабилитационных центров. Повышению эффективности медико-социальной реабилитации будут способствовать мероприятия по психологической поддержке женщин, больных раком (подготовка и обучение психоонкологов). Организация групп поддержки могла бы снизить уровень психологической дезадаптации. При противопоказаниях к возвращению к ранее выполняемому роду деятельности женщине необходимо рекомендовать переобучение и освоение новых видов умений и навыков, доступных в соответствии с сохраняющимися нарушениями функций и жизнедеятельности. При реализации программы реабилитации наиболее эффективны персонифицированный подход, комплексность и разнонаправленность мероприятий [13–15].
Ограничения исследования
В исследовании не предусматривались ранжирование муниципальных районов Чеченской Республики по уровню инвалидности женщин вследствие ЗНО репродуктивной системы и оценка доступности лечебно-реабилитационных мероприятий в зависимости от проживания женщин в городской или сельской местности.
Заключение
Рак органов репродуктивной системы гинекологической локализации является актуальной проблемой системы здоровьесбережения в Чеченской Республике. Наряду с совершенствованием подходов к ранней диагностике первостепенное значение имеет полнота объёма мероприятий на лечебно-реабилитационных этапах оказания медицинской помощи. При реализации программы медико-социальной реабилитации наиболее эффективны персонифицированный подход, комплексность и разнонаправленность мероприятий и обеспечение стратегии их непрерывности. Доступность медико-социальной реабилитации и широкое вовлечение женского населения в профилактические программы — «принуждение к здоровью», а также осведомлённость о факторах риска злокачественных новообразований исключительно важны для здоровьесбережения населения.
Дополнительная информация
Вклад авторов. Л.С. Идрисова — разработка концепции и дизайна исследования, обзор литературы, сбор и обработка статистического материала; М.А. Шургая — разработка концепции и дизайна исследования, обзор литературы, написание текста рукописи; С.Н. Пузин — разработка концепции и дизайна исследования, редактирование текста рукописи. Все авторы одобрили финальную версию перед публикацией, а также согласились нести ответственность за все аспекты работы, гарантируя надлежащее рассмотрение и решение вопросов, связанных с точностью и добросовестностью любой её части.
Источник финансирования. Отсутствует.
Раскрытие интересов. Авторы заявляют об отсутствии отношений, деятельности и интересов (личных, профессиональных или финансовых), связанных с третьими лицами (коммерческими, некоммерческими, частными), интересы которых могут быть затронуты содержанием статьи, а также иных отношений, деятельности и интересов за последние три года, о которых необходимо сообщить.
Additional information
Authors’ contribution. L.S. Idrisova — development of the concept and design of research, literature review, collection and processing of statistical material; M.A. Shurgaya — development of the concept and design of research, literature review, writing the text of the manuscript; S.N. Puzin — development of the concept and design of research, editing the text of the manuscript. All authors made a substantial contribution to the conception of the work, acquisition, analysis, interpretation of data for the work, drafting and revising the work, final approval of the version to be published and agree to be accountable for all aspects of the work.
Funding source. None.
Disclosure of interests. The authors declare the absence of relationships, activities and interests (personal, professional or financial) related to third parties (commercial, non-profit, private), whose interests may be affected by the content of the article, as well as other relationships, activities and interests over the past three years, which must be reported.
1 Постановление № 715 от 1 декабря 2004 г. «Об утверждении перечня социально значимых заболеваний и перечня заболеваний, представляющих опасность для окружающих» (в редакции Постановлений Правительства РФ № 710 от 13.07.2012 г., № 66 от 31.01.2020 г.).
2 Приказ Минтруда России «О классификациях и критериях, используемых при осуществлении медико-социальной экспертизы граждан федеральными государственными учреждениями медико-социальной экспертизы» № 1024н от 17.12.2015 г., № 585н от 27.08.2019 г.
About the authors
Lilya S. Idrisova
Aimani Kadyrova Republican Clinical Center for Maternal and Child Welfare
Email: rkcozmir_ak@mail.ru
ORCID iD: 0000-0001-5931-0175
SPIN-code: 9996-4623
MD, Cand. Sci. (Medicine)
Russian Federation, GroznyMarina A. Shurgaya
Russian Medical Academy of Continuous Professional Education
Author for correspondence.
Email: daremar@mail.ru
ORCID iD: 0000-0003-3856-893X
SPIN-code: 4521-0147
MD, Dr. Sci. (Medicine), professor
Russian Federation, 2/1 Barrikadnaya st, Moscow, 123242Sergey N. Puzin
Russian Medical Academy of Continuous Professional Education
Email: s.puzin2012@yandex.ru
ORCID iD: 0000-0003-1811-6936
SPIN-code: 2206-0700
MD, Dr. Sci. (Medicine), professor, academician of the Russian Academy of Sciences
Russian Federation, 2/1 Barrikadnaya st, Moscow, 123242References
- Puzin SN, Shurgaya MA, Achkasov EE, et al. Medical and social aspects of repeated disability of the adult population due to malignant neoplasms in the Russian Federation. Problemy social’noj gigieny, zdravoohraneniya i istorii mediciny. 2019;27(1):18–22. doi: 10.32687/0869-866X-2019-27-1-18-22
- Natsun LN. Study of the features of statistical accounting of primary disability of the adult population in Russia in the context of social policy. Siberian Socium. 2020;4(2):32–47. doi: 10.21684/2587-8484-2020-4-2-32-47
- Ferlay J, Ervik M, Lam F, et al. Global Cancer Observatory: Cancer Today. Lyon: International Agency for Research on Cancer. 2020 (available from: https://gco.iarc.fr/today). [Electronic resource].
- National project “Healthcare”: federal project “Fight against cancer” (approved December 24, 2018; implementation period 2019–2024). Available from: http://government.ru/ (In Russ.)
- Kaprin AD, Apolikhin OI, Sivkov AV, et al. Interdisciplinary approach to improving the reproductive health of adolescents and adults. Epidemiol and vaccine prevention. 2022;21(1):103–109. doi: 10.31631/2073-3046-2022-21-1-103-109
- Idrisova LS, Suleimanov EA, Puzin SN, Shurgaya MA, Memetov SS. Regional aspects of disability due to malignant neoplasms in the Russian Federation. Advances in Gerontology. 2022;35(1):44–52. doi: 10.34922/AE.2022.35.1.004
- Sung H, Ferlay J, Siegel RL, et al. Global Cancer Statistics 2020: GLOBOCAN estimates of incidence and mortality worldwide for 36 cancers in 185 countries. CA: a Cancer Journal for Clinicians. 2021;71(3):209–49. doi: 10.3322/caac.2166
- Idrisova LS, Shurgaya MA, Puzin SN. Assessment of the health status of the female population of the Chechen Republic in the context of detection of reproductive system cancer and subsequent monitoring. Bulletin of the All-Russian Society of Specialists in Medical and Social Expertise, Rehabilitation and Rehabilitation Industry. 2023;(3):15–24. doi: 10.17238/issn1999-2351.2023.3.15-24
- Kaprin AD, Starinsky VV, Shakhzadova AO. The state of oncological care to the population of Russia in 2020. Moscow: P.A. Herzen Moscow Oncology Research Institute — branch of the National Medical Research Center of Radiology of the Ministry of Health of the Russian Federation; 2021: 239 p.
- Idrisova LS, Suleimanov EA, Puzin SN, Shurgaya MA, Memetov SS. Ovarian cancer in the regional aspect of providing oncological care in Russia. Bulletin of the All-Russian Society of Specialists in Medical and Social Expertise, Rehabilitation and Rehabilitation Industry. 2022;(1):60–68. doi: 10.17238/issn1999-2351.2022.1.60-68
- US task force. Screening for cervical cancer: US preventive services task preventive services force recommendation statement. JAMA. 2018;320(7):674686. doi: 10.1001/jama.2018.10897
- Akavova SA. Routing of patients during rehabilitation after treatment of oncogynecological pathologies. Rehabilitation. 2024;2(1):158–172. doi: 10.17749/2949-5873/rehabil.2024.21
- Solopova AG, Vlasina AYu, Idrisova LE, Moskvicheva VS, Bazhanov SA. Rehabilitation of oncogynecological patients: current problems and possible solutions. Bulletin of Restorative Medicine. 2019;93(5):87–9. EDN: OBCOYT
- Blinov DV, Solopova AG, Plutnitsky AN, et al. Organization of healthcare in the field of rehabilitation of patients with oncological diseases of the reproductive system. Pharmacoeconomics. Modern pharmacoeconomics and pharmacoepidemiology. 2022;15(1):119–130. doi: 10.17749/2070-4909/farmakoekonomika.2022.132
- Musaev AI, Makhmudova MSh, Arsakhanova GA. Prevalence of oncological diseases among the population of the Chechen Republic. Sci journal. 2016;(7):94–98. (In Russ.) EDN: WFJYYP
Supplementary files







